ERIC KRAUSE REPORTS

MY HISTORICAL REPORTS
PUBLISHED ON THE INTERNET

Krause House Pages, Website Design, and Reports © by Eric Krause, Krause House Info-Research Solutions (© 1996)
webmaster: krausehouse@krausehouse.ca   © Krause House Info-Research Solutions


PARISH RECORDS HTML

Fortress of Louisbourg
Parish Records (1713 - 1758)

Fortress of Louisbourg
Parish Family Reconstitution Records (1713 - 1758)

See Also: Introduction - Baptisms - Marriages - Deaths

Missed Parish Records

Click Here For the Parish Records Originals


The following 1498 family reconstitution database records are copyrighted:
Researched (Paper Records) by Barbara Schmeisser (Parks Canada)
and digitally assembled by Eric Krause - Krause House Info-Research Solutions (1996-Present)

 

DATABASE ID
10155

NAME
Abraham, Jean
Detchevery, Marie

------

IMAGE
10155.jpg



 

DATABASE ID
10156

NAME
Adam
Paris, Angelique

------

IMAGE
10156.jpg




DATABASE ID
10157

NAME
Adam de Neuilly
Neuville Adam de, Louis
Paris, Angelique

------

IMAGE
10157.jpg



 

DATABASE ID
10158

NAME
Adelen dt St. Brieue, Jean
Greion, Theres
veuve de Guillaume Brevel

------

IMAGE
10158.jpg




DATABASE ID
10159

NAME
Agron, Jean
Feret, Marie Charlotte

------

IMAGE
10159.jpg




DATABASE ID
10160

NAME
Ailleboust, D' Charles Joseph
Bertrand, Marie Joseph
veuve de Gabriel Rousseau de Villjouin

------

IMAGE
10160.jpg




DATABASE ID
10161

NAME
Ailleboust dè, Charles Joseph
Bertrand, Marie Josephe

------

IMAGE
10161.jpg




DATABASE ID
10162

NAME
Ailleboust de St. Vilmé, Pierre Hector
Daccarrette, Renee

------

IMAGE
10162.jpg




DATABASE ID
10163

NAME
Ailleboust de St. Vilmé, Pierre-Hector
Deccarette, Renotte

------

IMAGE
10163.jpg




DATABASE ID
10164

NAME
Daillebout

------

IMAGE
10164.jpg




DATABASE ID
10165

NAME
Alain, Charles
Martial, Denise

------

IMAGE
10165.jpg




DATABASE ID
10166

NAME
Alain, Charles

------

IMAGE
10166.jpg




DATABASE ID
10167

NAME
Alard de St. Marie, Philippe Joseph
veuf de Jeanne Jacau
Carrerot, Angelique

------

IMAGE
10167.jpg




DATABASE ID
10168

NAME
Alard de St. Marie, Philippe Joseph
Jacau, Jeanne Francoise
(who is not to be confused with her sister)

------

IMAGE
10168.jpg




DATABASE ID
10169

NAME
Allard de Ste Marie, Philippe Joseph
Jacau, Jeanne

------

IMAGE
10169.jpg




DATABASE ID
10170

NAME
Allenet, Jean Elie
Larcheveque, Marie

------

IMAGE
10170.jpg




DATABASE ID
10171

NAME
Amoit, Noel
Bois, Marguerite

------

IMAGE
10171.jpg




DATABASE ID
10172

NAME
Amolot, Yves
Terriou, Marguerite

------

IMAGE
10172.jpg




DATABASE ID
10173

NAME
Andlauer, Jean Michel
Le Tenturier, Catherine

------

IMAGE
10173.jpg




DATABASE ID
10174

NAME
André dt La Guerre, Pierre
Aubois, Marguerite

------

IMAGE
10174.jpg




DATABASE ID
10175

NAME
La Guerre, Pierre

------

IMAGE
10175.jpg




DATABASE ID
10176

NAME
Angers, Pierre
Bouchet de St. Martin, Cecille

------

IMAGE
10176.jpg




DATABASE ID
10177

NAME
Anonyme (Indien)
XX, Francois
XX, Anna

------

IMAGE
10177.jpg




DATABASE ID
10178

NAME
Anonyme (Indiens)
XX, Michel
Isidors, Marie

------

IMAGE
10178.jpg




DATABASE ID
10179

NAME
[Anonyme], Jacques
Acheury, Magdelaine

------

IMAGE
10179.jpg




DATABASE ID
10180

NAME
Anot (Jehannot), Jean Baptiste
Martin, Anne

------

IMAGE
10180.jpg




DATABASE ID
10181

NAME
Anquetil, George
Pinet, Marguerite,
veuve de Jacques Menard

------

IMAGE
10181.jpg




DATABASE ID
10182

NAME
Anguetin, George
Vinet, Marguerite

------

IMAGE
10182.jpg




DATABASE ID
10183

NAME
Anquetil, Jean
Rhau, Françoise

------

IMAGE
10183.jpg




DATABASE ID
10184

NAME
Anguetil, Jean
Raux, Francoise

------

IMAGE
10184.jpg




DATABASE ID
10185

NAME
Anselme dt. La Liberté, Joseph Antoine
Grenard, Marie Jeanne
veuve de Philbert Pinon

------

IMAGE
10185.jpg




DATABASE ID
10186

NAME
Archediquin, Jacque (James)
Maquy, Anne

------

IMAGE
10186.jpg




DATABASE ID
10187

NAME
Armand, Joseph Marie
Normant, Cecille

------

IMAGE
10187.jpg




DATABASE ID
10188

NAME
Arnaud, Jean
Gallay (Jollé), Marie Rose

------

IMAGE
10188.jpg




DATABASE ID
10189

NAME
Arnoux, Michel
Pinet, Theotiste

------

IMAGE
10189.jpg




DATABASE ID
10190

NAME
Arrot, Claude
Chancelle, Julienne

------

IMAGE
10190.jpg




DATABASE ID
10191

NAME
Arrot, Claude
Chancerel, Julienne

------

IMAGE
10191.jpg




DATABASE ID
10192

NAME
Aubert d'Provencal, Etienne
Heron, Marie
deserted by husband, Nicholas Demie (Charpenter)

------

IMAGE
10192.jpg




DATABASE ID
10193

NAME
Augez dt. Grandchamp, Julien Pierre
Petit, Louise Therese

------

IMAGE
10193.jpg




DATABASE ID
10194

NAME
Auger dit Grandchamp, Julien
Petit, Therese

------

IMAGE
10194.jpg




DATABASE ID
10195

NAME
Augé dt Granchamps, Julien
Augé dt Granchamp, Julien

------

IMAGE
10195.jpg




DATABASE ID
10196

NAME
Auger dit Grandchamp, Pierre Julien

------

IMAGE
10196.jpg




DATABASE ID
10197

NAME
Augier, Daniel
Jacaud, Hippolite

------

IMAGE
10197.jpg




DATABASE ID
10198

NAME
Auris, Charles
Boreau, Magdelaine

------

IMAGE
10198.jpg




DATABASE ID
10199

NAME
Avignon D'Pierre
Robidou, Magdeleine

------

IMAGE
10199.jpg




DATABASE ID
10200

NAME
Baguenard, François
Aubin, Marie Magdeleine

------

IMAGE
10200.jpg




DATABASE ID
10201

NAME
Bahuaud, Francois
Paris, Marie
veuve de Joseph Chartier

------

IMAGE
10201.jpg




DATABASE ID
10202

NAME
Baiselievre, Pierre
Guillaumes, Renée

------

IMAGE
10202.jpg




DATABASE ID
10203

NAME
Ballay, André
Friquant, Angélique

------

IMAGE
10203.jpg




DATABASE ID
10204

NAME
Ballé, Thomas

------

IMAGE
10204.jpg




DATABASE ID
10205

NAME
Ballé, Thomas
Pinette, Marie Francoise

------

IMAGE
10205.jpg




DATABASE ID
10206

NAME
Ballois de la Boudrie, Jean
Beaumont de Grandville, Marguerite

------

IMAGE
10206.jpg




DATABASE ID
10207

NAME
Balmani, Ignace
Isberzguef, Marie

------

IMAGE
10207.jpg




DATABASE ID
10208

NAME
Banne, Antoine
Cannon, Judith

------

IMAGE
10208.jpg




DATABASE ID
10209

NAME
Baraut (Barreau), Pierre
Allain, Jeanne

------

IMAGE
10209.jpg




DATABASE ID
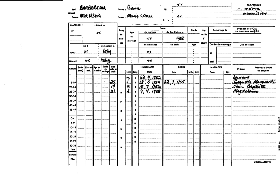
10210

NAME
Barbereau, Pierre
Morrison, Marie Anne

------

IMAGE
10210.jpg




DATABASE ID
10211

NAME
Baron, Nicolas

------

IMAGE
10211.jpg




DATABASE ID
10212

NAME
Baron, Nicolas

------

IMAGE
10212.jpg




DATABASE ID
10213

NAME
Baron, Nicolas

------

IMAGE
10213.jpg




DATABASE ID
10214

NAME
Baron Lupien, Pierre
Vincent Desmaret, Agathe

------

IMAGE
10214.jpg




DATABASE ID
10215

NAME
Baron Lupien, Nicolas
Saux, Marie
veuve de Gaspant Zemard

------

IMAGE
10215.jpg




DATABASE ID
10216

NAME
Barree, Jean
Bonnier, Perrine
Veuve de Jacque Chantrel

------

IMAGE
10216.jpg




DATABASE ID
10217

NAME
Barré, Jean
Bonier, Perinne

------

IMAGE
10217.jpg




DATABASE ID
10218

NAME
Barriere dt LePurgy, Martial
Vinet, Louise

------

IMAGE
10218.jpg




DATABASE ID
10219

NAME
De Barsac dt. La Riviere, Vincent
Mons, Elizabeth

------

IMAGE
10219.jpg




DATABASE ID
10220

NAME
Basquesse, Estienne
Ro [Raux], Marie Francoise
Veuve de Joannis Detchevelar

------

IMAGE
10220.jpg




DATABASE ID
10221

NAME
Bauchron, Claude
Bondon, Jeanne

------

IMAGE
10221.jpg




DATABASE ID
10222

NAME
Baudry, Francois
Le Large, Genevieve

------

IMAGE
10222.jpg




DATABASE ID
10223

NAME
Baudry, Francois

------

IMAGE
10223.jpg




DATABASE ID
10224

NAME
Baudry, Francois

------

IMAGE
10224.jpg




DATABASE ID
10225

NAME
Baudry, Francois
Grandin, Gillette
Veuve de René du Repos

------

IMAGE
10225.jpg




DATABASE ID
10226

NAME
Baudry, Francois
veuf de Gillette Grandin
Yvon, Charlotte

------

IMAGE
10226.jpg




DATABASE ID
10227

NAME
Baudry, Jean
Hebert, Isabelle
Le Mordant

------

IMAGE
10227.jpg




DATABASE ID
10228

NAME
Baudry, Jean
Daguerre, Marie Rose

------

IMAGE
10228.jpg




DATABASE ID
10229

NAME
Baudry, Toussaint
Tregui, Marie

------

IMAGE
10229.jpg




DATABASE ID
10230

NAME
Baurice, Jean
veuf de Marie Joseph Martin
Corporon, Magdeleine

------

IMAGE
10230.jpg




DATABASE ID
10231

NAME
Baurice, Jean
Martin, Marie Joseph

------

IMAGE
10231.jpg




DATABASE ID
10232

NAME
Beaulieu, Jacques
La Baurre, Effrosine

------

IMAGE
10232.jpg




DATABASE ID
10233

NAME
Beaulieu, Jean
Eulin, Marie

------

IMAGE
10233.jpg




DATABASE ID
10234

NAME
Bechederique, Jean
De Fenin, Genevieve

------

IMAGE
10234.jpg




DATABASE ID
10235

NAME
Beguin, Julien
LeGuignard, Juliene

------

IMAGE
10235.jpg




DATABASE ID
10236

NAME
Bellair, de Pierre
Zemard, Marie Anne

------

IMAGE
10236.jpg




DATABASE ID
10237

NAME
Bellair, Pierre
Zaimard, Marianne

------

IMAGE
10237.jpg




DATABASE ID
10238

NAME
Benard, Jean
Langlois, Catherine

------

IMAGE
10238.jpg




DATABASE ID
10239

NAME
Benoist, Pierre
LeVront (Savoye), Anne

------

IMAGE
10239.jpg




DATABASE ID
10240

NAME
Benoist, Claude
Terriot, Elizabeth

------

IMAGE
10240.jpg




DATABASE ID
10241

NAME
Benoit, Martin
Peré, Jeanne

------

IMAGE
10241.jpg




DATABASE ID
10242

NAME
Benoit, Pierre
veuf de Anne Levron [Savoye]
Jacau, Anne

------

IMAGE
10242.jpg




DATABASE ID
10243

NAME
Benoist, Pierre
Jacau, Anne

------

IMAGE
10243.jpg




DATABASE ID
10244

NAME
Berbudeau, Gabriel
Paris, Gervaise

------

IMAGE
10244.jpg




DATABASE ID
10245

NAME
Berbudeau, Gabriel
Paris, Gervaise

------

IMAGE
10245.jpg




DATABASE ID
10246

NAME
Berge, Pierre
Chevelart, Catherine

------

IMAGE
10246.jpg




DATABASE ID
10247

NAME
Bernard, Jean

------

IMAGE
10247.jpg




DATABASE ID
10248

NAME
Bernard dt. sans Quartier, Jean
Pugnant, Marie Francoise

------

IMAGE
10248.jpg




DATABASE ID
10249

NAME
Bertin, Louis
La Grange, Anne Henriette

------

IMAGE
10249.jpg




DATABASE ID
10250

NAME
Bernard, Pierre
LeTrange, Catherine

------

IMAGE
10250.jpg




DATABASE ID
10251

NAME
Bette, Josse
Santier, Julienne-Hélène

------

IMAGE
10251.jpg




DATABASE ID
10252

NAME
Bertin, Louis
LaGrange, Anne-Herriette

------

IMAGE
10252.jpg




DATABASE ID
10253

NAME
Bertin, Louis
Veuf de Anne Herriette LaGrange
Bertrant, Marie Anne
Veuve de Tonpie

------

IMAGE
10253.jpg




DATABASE ID
10254

NAME
Berrier, Jean
Millioux, Magdelaine
veuve Nicholas Pinochet

------

IMAGE
10254.jpg




DATABASE ID
10255

NAME
Bertrand, Denis
Baudet, Catherine

------

IMAGE
10255.jpg




DATABASE ID
10256

NAME
Bienvenu, Julien
Chasagne, Marie

------

IMAGE
10256.jpg




DATABASE ID
10257

NAME
Bignon, Jean
Petit, Marie

------

IMAGE
10257.jpg




DATABASE ID
10258

NAME
Billon, Jean
LaHaye, Marie

------

IMAGE
10258.jpg




DATABASE ID
10259

NAME
Binot, Louis
LeMetayer, Isabelle

------

IMAGE
10259.jpg




DATABASE ID
10260

NAME
Biret, Pierre
Balle [Bellay], Marie [Charlotte]

------

IMAGE
10260.jpg




DATABASE ID
10261

NAME
Birolle de Cazole, Bertrand
Doucet, Catherine

------

IMAGE
10261.jpg




DATABASE ID
10262

NAME
Birolle, Bertrand
Doucet, Catherine

------

IMAGE
10262.jpg




DATABASE ID
10263

NAME
Biron dt. La Gelee, Gabriel
Rambau, Magdeleine
veuve Longue Epée

------

IMAGE
10263.jpg




DATABASE ID
10264

NAME
Biron dt. Lagelee, Gabriel
veuf de Magdeleine Rambau
Sauvage, Perinne

------

IMAGE
10264.jpg




DATABASE ID
10265

NAME
Biron dt. La Gelée, Gabriel

------

IMAGE
10265.jpg




DATABASE ID
10266

NAME
Biron, Gabriel

------

IMAGE
10266.jpg




DATABASE ID
10267

NAME
Bisaut, Jean
Mallet, Jeanne

------

IMAGE
10267.jpg




DATABASE ID
10268

NAME
Bistort, Jacques
Hacart, Jeanne

------

IMAGE
10268.jpg




DATABASE ID
10269

NAME
Blain, Jacques
Durand, Francoise
veuve de Jean Grossin

------

IMAGE
10269.jpg




DATABASE ID
10270

NAME
Blain, Jean Francois
Terriau, Marie Magdeleine

------

IMAGE
10270.jpg




DATABASE ID
10271

NAME
Blanchard, Anselme
Douaron, Marguerite

------

IMAGE
10271.jpg




DATABASE ID
10272

NAME
Blanchard, Toussaint
La Mer de, Gillette

------

IMAGE
10272.jpg




DATABASE ID
10273

NAME
Blanchet, Francois
Pugnant, Marguerite

------

IMAGE
10273.jpg




DATABASE ID
10274

NAME
Blez (D), Jean Baptiste
La Nau, Angélique

------

IMAGE
10274.jpg




DATABASE ID
10275

NAME
Blondin dt. Bienfait, Jean
Dubois, Marie Anne

------

IMAGE
10275.jpg




DATABASE ID
10276

NAME
Blouet, Jean
veuf de Sanah Nicolle (de Boston)
Martin, Angélique
veuve de Antoine Gourdon

------

IMAGE
10276.jpg




DATABASE ID
10277

NAME
Bodry, Etienne
Treguy, Louise Marie Jeanne

------

IMAGE
10277.jpg




DATABASE ID
10278

NAME
Bodry dt. Sansfaçon, Jean
Joubert, Marie Magdelene

------

IMAGE
10278.jpg




DATABASE ID
10279

NAME
Berqueli, Anlgienq
Charesre, Annette

------

IMAGE
10279.jpg




DATABASE ID
10280

NAME
Boisberthelot de Beaucour du, George Francois
Degoutin, Jeanne

------

IMAGE
10280.jpg




DATABASE ID
10281

NAME
Boisberthelot de Beaucours

------

IMAGE
10281.jpg




DATABASE ID
10282

NAME
Boisberthelot du, George François
Degoutin, Jeanne

------

IMAGE
10282.jpg




DATABASE ID
10283

NAME
Boisneuf de La Valliere, Joseph Alexandre
Deccarette, Marie

------

IMAGE
10283.jpg




DATABASE ID
10284

NAME
Boisseaux, Pierre
Douaron, Marie
veuve de Francois Tetard dt. Paris

------

IMAGE
10284.jpg




DATABASE ID
10285

NAME
Boisseau, Pierre
veuf de Marie Douaron
Theriaut, Marguerite

------

IMAGE
10285.jpg




DATABASE ID
10286

NAME
Boisseau, Pierre
Theriot, Marie Marguerite

------

IMAGE
10286.jpg




DATABASE ID
10287

NAME
Bonnier, Bertrand
veuf de Olive Bannieres
Le Combe, Cecile

------

IMAGE
10287.jpg




DATABASE ID
10288

NAME
Boitier dt. Berichon, Nicholas
Thesson dt. La Floury, Jeanne

------

IMAGE
10288.jpg




DATABASE ID
10289

NAME
Boisseaux de LaGalernerie Lauberlerie, Louis
Degannes de Falaise, Marguerite Elisabeth

------

IMAGE
10289.jpg




DATABASE ID
10290

NAME
Bonnet, Pierre
Le Vivray, Helene Françoise

------

IMAGE
10290.jpg




DATABASE ID
10291

NAME
Bonier, Bertrand
Le Comble, Cecille

------

IMAGE
10291.jpg




DATABASE ID
10292

NAME
Bonnier, Bertrand
Bannieres, Olive

------

IMAGE
10292.jpg




DATABASE ID
10293

NAME
Bonsans, André
Dubois, Magdelaine
veuve de Granseau

------

IMAGE
10293.jpg




DATABASE ID
10294

NAME
Borda, Etienne
Defriche, Jeanne

------

IMAGE
10294.jpg




DATABASE ID
10295

NAME
Bouard, Jacque
Comin, Marie

------

IMAGE
10295.jpg




DATABASE ID
10296

NAME
Boucher, Bernard
Fregand, Jeanne
veuve de Jean Bapt. Merlin

------

IMAGE
10296.jpg




DATABASE ID
10297

NAME
Boucher, Bernard
Frequants, Jeanne

------

IMAGE
10297.jpg




DATABASE ID
10298

NAME
Boucher, Pierre-Jerome
Degoutin, Magdeleine

------

IMAGE
10298.jpg




DATABASE ID
10299

NAME
Boucher

------

IMAGE
10299.jpg




DATABASE ID
10300

NAME
Boucher, Pierre Jerome
Degoutin, Magdeleine

------

IMAGE
10300.jpg




DATABASE ID
10301

NAME
Bouilly, Thomas
Barbier, Marguerite

------

IMAGE
10301.jpg




DATABASE ID
10302

NAME
Boullot, Pierre
Richard, Jeanne Magdeleine

------

IMAGE
10302.jpg




DATABASE ID
10303

NAME
Boitier dt. Berichon, Nicholas
Brouillé, Magdelaine Charlotte

------

IMAGE
10303.jpg




DATABASE ID
10304

NAME
Bonnau, Rolland
Pelletier, Marie Thesese

------

IMAGE
10304.jpg




DATABASE ID
10305

NAME
Boureau, Blaize
Blanchard, Catherine

------

IMAGE
10305.jpg




DATABASE ID
10306

NAME
Bourgeois, Jean
Daude, Jeanne Baptiste

------

IMAGE
10306.jpg




DATABASE ID
10307

NAME
Boudro, Jean Baptiste
Trauant, Lucie

------

IMAGE
10307.jpg




DATABASE ID
10308

NAME
Boudron, Pierre
Baudry, Magdeleine

------

IMAGE
10308.jpg




DATABASE ID
10309

NAME
Bourguignon dt. Bergerac, Jean
Vinet, Louise

------

IMAGE
10309.jpg




DATABASE ID
10310

NAME
Bourguignon dt. Bergerac, Jean
Vinet, Marie Louise

------

IMAGE
10310.jpg




DATABASE ID
10311

NAME
Bourneuf, Julien
Hiomet, Anne Marie

------

IMAGE
10311.jpg




DATABASE ID
10312

NAME
Boutain, Paul
Gidrie, Ursulle

------

IMAGE
10312.jpg




DATABASE ID
10313

NAME
Bourgneuf, Julien
Hyaume, Anne

------

IMAGE
10313.jpg




DATABASE ID
10314

NAME
Daccarette, le jeune (Michel)
Beausejour

------

IMAGE
10314.jpg




DATABASE ID
10315

NAME
Crezonnet dt. Beausejour, Francois
Cressonet dt. Beausejour, Francois

------

IMAGE
10315.jpg




DATABASE ID
10316

NAME
Cresonet, Francois

------

IMAGE
10316.jpg




DATABASE ID
10317

NAME
Boutin, Jean Baptiste
Gaulin, Marie Joseph

------

IMAGE
10317.jpg




DATABASE ID
10318

NAME
Boutin, Jean Baptiste
Savois, Marie Joseph

------

IMAGE
10318.jpg




DATABASE ID
10319

NAME
Boutin, Jean Francois
Milly, Marguerite

------

IMAGE
10319.jpg




DATABASE ID
10320

NAME
Boutin, Joseph
Terio, Theotiste

------

IMAGE
10320.jpg




DATABASE ID
10321

NAME
Branet dt. Ducas, Bernard
Normandeau, Marguerite

------

IMAGE
10321.jpg




DATABASE ID
10322

NAME
Breher, Francois
Debroize, Magdelaine

------

IMAGE
10322.jpg




DATABASE ID
10323

NAME
Brenan, Thomas
Reed, Marie

------

IMAGE
10323.jpg




DATABASE ID
10324

NAME
Bretelle, Ysaac
Martin, Marie Jeann

------

IMAGE
10324.jpg




DATABASE ID
10325

NAME
Brevon, Martin
L'Equar, Jeanne

------

IMAGE
10325.jpg




DATABASE ID
10326

NAME
Briand, Joseph
Savois, Marguerite

------

IMAGE
10326.jpg




DATABASE ID
10327

NAME
Briau dt. Vat de Bon Coeur, Clement
Auge, Marie Anne
veuve de Estienne Dunau

------

IMAGE
10327.jpg




DATABASE ID
10328

NAME
Brisset, Mathunin
Boy, Josèphe-Pierre

------

IMAGE
10328.jpg




DATABASE ID
10329

NAME
Brisson, Etienne
Iamme, Françoise

------

IMAGE
10329.jpg




DATABASE ID
10330

NAME
Brisson, Joseph
Petit [Boismorel], Marie Josephe

------

IMAGE
10330.jpg




DATABASE ID
10331

NAME
Brisson, Joseph
veuf Marie Joseph Petit
Girardin, Geneviève

------

IMAGE
10331.jpg




DATABASE ID
10332

NAME
Brisson, Joseph

------

IMAGE
10332.jpg




DATABASE ID
10333

NAME
Brisson, Pierre
Boit, Marie

------

IMAGE
10333.jpg




DATABASE ID
10334

NAME
Broutin, Pierre Francois
Langot, [Marie] Françoise

------

IMAGE
10334.jpg




DATABASE ID
10335

NAME
Brunet, Jean Jacque
Le Roy, Elisabeth

------

IMAGE
10335.jpg




DATABASE ID
10336

NAME
Bunel, Yves
Touse, Marie

------

IMAGE
10336.jpg




DATABASE ID
10337

NAME
Bussard, Michel
Louarat, Marie

------

IMAGE
10337.jpg




DATABASE ID
10338

NAME
Caboufy, Joseph
Marie, Olive

------

IMAGE
10338.jpg




DATABASE ID
10339

NAME
Cailly, Francois Joseph
Volant, Anne Marie

------

IMAGE
10339.jpg




DATABASE ID
10340

NAME
Cailly

------

IMAGE
10340.jpg




DATABASE ID
10341

NAME
Came de St. Agne, Amabl Jean Joseph
De Loppinot, Louise [Marie] Charlotte

------

IMAGE
10341.jpg




DATABASE ID
10342

NAME
Camus, Jean François
Clermont, Jeanne
veuve de Pierre Tregui

------

IMAGE
10342.jpg




DATABASE ID
10343

NAME
Cardinal, Joseph Jean
Daranne, Jeanne

------

IMAGE
10343.jpg




DATABASE ID
10344

NAME
Cardinal, Joseph
Darban, Jeanne

------

IMAGE
10344.jpg




DATABASE ID
10345

NAME
Caresmeantrand, Claude
Perrin, Marie Therese Josephe

------

IMAGE
10345.jpg




DATABASE ID
10346

NAME
Carré dt. Jasmin, Barthelemy
Boinard, Louise

------

IMAGE
10346.jpg




DATABASE ID
10347

NAME
Carrerot, Philippe
Gaultier, Therese

------

IMAGE
10347.jpg




DATABASE ID
10348

NAME
Carrerot, Pierre André
Cheron, Marie Josephe

------

IMAGE
10348.jpg




DATABASE ID
10349

NAME
Carrerot, Pierre

------

IMAGE
10349.jpg




DATABASE ID
10350

NAME
Carrerot, André

------

IMAGE
10350.jpg




DATABASE ID
10351

NAME
Carrerot, Pierre Andre
Cheron, Marie Josephe

------

IMAGE
10351.jpg




DATABASE ID
10352

NAME
Carrerot, Philippe
Gaultier, Therese

------

IMAGE
10352.jpg




DATABASE ID
10353

NAME
Carrerot, Pierre
Pitt, Marie

------

IMAGE
10353.jpg




DATABASE ID
10354

NAME
Carrerot, Philippe

------

IMAGE
10354.jpg




DATABASE ID
10355

NAME
Cartier, Michel
Fourner, Catherine Francoise

------

IMAGE
10355.jpg




DATABASE ID
10356

NAME
Cassaignolle, Blaise
Seaux, Marie Jeanne

------

IMAGE
10356.jpg




DATABASE ID
10357

NAME
Cassaignolles, Blaise
Saux, Marie Jeanne

------

IMAGE
10357.jpg




DATABASE ID
10358

NAME
Cassaignolles, Nicolas
Ducournaux, Magdelaine

------

IMAGE
10358.jpg




DATABASE ID
10359

NAME
Cassenove, Guillaume
Vincent, Marguerite

------

IMAGE
10359.jpg




DATABASE ID
10360

NAME
Cassenove, Martin
Treguy, Jeanne Judith

------

IMAGE
10360.jpg




DATABASE ID
10361

NAME
Casenave, Bernard
Claveau, Renée Marie
[Chaveau]

------

IMAGE
10361.jpg




DATABASE ID
10362

NAME
Castaing, Jean
Durand, Louise Francoise

------

IMAGE
10362.jpg




DATABASE ID
10363

NAME
Cassagne dt. Lanquedoc, Louis
Du Bois, Marie Josèphe
veuve de Charles La B?

------

IMAGE
10363.jpg




DATABASE ID
10364

NAME
Castaing, Pierre Antoine
Chevallier, Charlotte Isabelle

------

IMAGE
10364.jpg




DATABASE ID
10365

NAME
Castaing, Pierre Antoine
Chevalier, Charlotte

------

IMAGE
10365.jpg




DATABASE ID
10366

NAME
Castaing, Antoine
veuf de Charlotte Chevalier
Le Roy, Olive

------

IMAGE
10366.jpg




DATABASE ID
10367

NAME
[Charpentier dt. LaRoze]
Doriant, Jeanne

------

IMAGE
10367.jpg




DATABASE ID
10368

NAME
de Catalogne, Joseph
Renault de Dubuisson, Charlotte

------

IMAGE
10368.jpg




DATABASE ID
10369

NAME
de Catalougne, Gédeon
Le Mire, Marie Anne

------

IMAGE
10369.jpg




DATABASE ID
10370

NAME
Caumon, Jean
Gerardin, Marie Marguerite

------

IMAGE
10370.jpg




DATABASE ID
10371

NAME
Cazeaux, Jean
Guillton dt. LaRoche, Marguerite Louise

------

IMAGE
10371.jpg




DATABASE ID
10372

NAME
Celin, Jean
Porquier, Marie

------

IMAGE
10372.jpg




DATABASE ID
10373

NAME
Chalois, Gilles
Guerard, Francoise

------

IMAGE
10373.jpg




DATABASE ID
10374

NAME
Chambaud, Jean Pierre
Carreton, Helene

------

IMAGE
10374.jpg




DATABASE ID
10375

NAME
Chantrel, Jacque Francois
Bonnier, Perrine

------

IMAGE
10375.jpg




DATABASE ID
10376

NAME
Chapeau, Etienne
Girardeau, Elisabeth

------

IMAGE
10376.jpg




DATABASE ID
10377

NAME
Chapelard, Gregoire
Bersouin, Marie

------

IMAGE
10377.jpg




DATABASE ID
10378

NAME
Chapin, Jean
Henry, Catherine
veuve de Jean Guerar

------

IMAGE
10378.jpg




DATABASE ID
10379

NAME
Charle, Jean
Rochefordes, Anne

------

IMAGE
10379.jpg




DATABASE ID
10380

NAME
Charpentier, Pascal
Pinau, Marguerite

------

IMAGE
10380.jpg




DATABASE ID
10381

NAME
Charpentier, Pascal
veuf de Marguerite Anau
Dorion, Jeanne (Marie)

------

IMAGE
10381.jpg




DATABASE ID
10382

NAME
Chartier, Joseph
Paris, Marie

------

IMAGE
10382.jpg




DATABASE ID
10383

NAME
Chartier, Joseph
Paris, Marie

------

IMAGE
10383.jpg




DATABASE ID
10384

NAME
Chassard, Antoine
Allain, Jeanne

------

IMAGE
10384.jpg




DATABASE ID
10385

NAME
Chassin de Thierry, Francois Nicholas
Rousseau de Souvigny, Marie Joseph

------

IMAGE
10385.jpg




DATABASE ID
10386

NAME
Chassin de Thierry, Francois Nicolas
Rousseau de Souvigny, Marie Josephe

------

IMAGE
10386.jpg




DATABASE ID
10387

NAME
Chauvelin de, Francois Marie
Chassin de Thierry, Marie Josèphe

------

IMAGE
10387.jpg




DATABASE ID
10388

NAME
Chauvin, Jean
Ligonier, Louise

------

IMAGE
10388.jpg




DATABASE ID
10389

NAME
Chauvin, Jean
Ligonnier, Louise

------

IMAGE
10389.jpg




DATABASE ID
10390

NAME
Chavaux, Barthelemie
Galoux, Anne Magdelaine

------

IMAGE
10390.jpg




DATABASE ID
10391

NAME
Chenais, Joseph Felix
Lebreton, Marie Louise
veuve de Louis de Longrais

------

IMAGE
10391.jpg




DATABASE ID
10392

NAME
Cheron dt. Lavictoire, Jean Baptiste
Mons, Isabelle (Elizabeth)
veuve de Vincent de Barsac

------

IMAGE
10392.jpg




DATABASE ID
10393

NAME
Chevalier, Francois
Chavigny de La Chevrotiere, Isabelle [Elizabeth]

------

IMAGE
10393.jpg




DATABASE ID
10394

NAME
Chevalier, Jean
Murat, Magdelaine

------

IMAGE
10394.jpg




DATABASE ID
10395

NAME
Chevalier, fils
Chevalier, Francois

------

IMAGE
10395.jpg




DATABASE ID
10396

NAME
Chevalier, Francois

------

IMAGE
10396.jpg




DATABASE ID
10397

NAME
Chevalier de Granchamp, Vital Henri
De Bon, Louise

------

IMAGE
10397.jpg




DATABASE ID
10398

NAME
Chite, George
Feterriche, Richarde

------

IMAGE
10398.jpg




DATABASE ID
10399

NAME
Cholet, Jean
Menard, Louise

------

IMAGE
10399.jpg




DATABASE ID
10400

NAME
Cholet, Jean

------

IMAGE
10400.jpg




DATABASE ID
10401

NAME
Cholet, Jean
veuf de Louise Menard
Tessier, Marie Joseph

------

IMAGE
10401.jpg




DATABASE ID
10402

NAME
Chollet, Jean Francois
Rabiet, Françoise

------

IMAGE
10402.jpg




DATABASE ID
10403

NAME
Chouquet, Pierre
Morin, Hélène Bertranne

------

IMAGE
10403.jpg




DATABASE ID
10404

NAME
Chouquet, Pierre
Morein, Helene

------

IMAGE
10404.jpg




DATABASE ID
10405

NAME
Chouquet dt. La Volonté, Pierre
Basaniere, Marie Susanne
veuve de Le Roy Desmarest

------

IMAGE
10405.jpg




DATABASE ID
10406

NAME
Chouquet dt. La Volonté, Pierre
de Bazaniere, Marie Susanne

------

IMAGE
10406.jpg




DATABASE ID
10407

NAME
Chouteau, Pierre
Le Large, Marie Jeanne

------

IMAGE
10407.jpg




DATABASE ID
10408

NAME
Chritanne, Michel
Proner, Anne Marie

------

IMAGE
10408.jpg




DATABASE ID
10409

NAME
Chyanck, Jean
Laniouse, Marie Magdelaine

------

IMAGE
10409.jpg




DATABASE ID
10410

NAME
Cireaud, Léonard
Pinette, Marie Josephe

------

IMAGE
10410.jpg




DATABASE ID
10411

NAME
Clapardede, Jean
Grosse, Renée

------

IMAGE
10411.jpg




DATABASE ID
10412

NAME
Claparede, Jean
veuf de Marie Grosse
Seigneur dt. Lariviere, Marie Josephe
veuve de Louis Loppinot de La Fresilliere

------

IMAGE
10412.jpg




DATABASE ID
10413

NAME
Claparede, Jacques
Faucheux dt. Langevin, Marie Louise Angelique

------

IMAGE
10413.jpg




DATABASE ID
10414

NAME
Claverie, Jean
Rambourg, Jeanne

------

IMAGE
10414.jpg




DATABASE ID
10415

NAME
Claverie, Jean
Remboure, Jeanne

------

IMAGE
10415.jpg




DATABASE ID
10416

NAME
Clement dt. L?, François
Pichot, Françoise

------

IMAGE
10416.jpg




DATABASE ID
10417

NAME
Clermont, Francois
Daguerre, Marie

------

IMAGE
10417.jpg




DATABASE ID
10418

NAME
Clermont dt. Larose, Francois
Baudry, Jeanne

------

IMAGE
10418.jpg




DATABASE ID
10419

NAME
Clori, Jean Baptiste
Marcadet, Marie

------

IMAGE
10419.jpg




DATABASE ID
10420

NAME
Clousquinet, Louis
Longue-Epée, Marguerite

------

IMAGE
10420.jpg




DATABASE ID
10421

NAME
Closquinet dt. Dumoutin, Louis

------

IMAGE
10421.jpg




DATABASE ID
10422

NAME
Cocheret, Mat
Gautier, Catherine

------

IMAGE
10422.jpg




DATABASE ID
10423

NAME
Coeuret, Claude
Seigneur dt. La Riviére, Angélique

------

IMAGE
10423.jpg




DATABASE ID
10424

NAME
Coeuret, Claude
Seigneur, Angélique

------

IMAGE
10424.jpg




DATABASE ID
10425

NAME
Coinon, Alexandre
Warluse, Isabelle

------

IMAGE
10425.jpg




DATABASE ID
10426

NAME
Coindo dt. La Rose, Emery
Longue Épée, Magdelaine

------

IMAGE
10426.jpg




DATABASE ID
10427

NAME
Coindeau
Cordeau dt. La Rose, Emery
Cordeau dt. La Rozé, Mery

------

IMAGE
10427.jpg




DATABASE ID
10428

NAME
Colb, André
Voelfin, Marie Magdelaine

------

IMAGE
10428.jpg




DATABASE ID
10429

NAME
Colin dt. Graviers, Pierre
Landon, Anne

------

IMAGE
10429.jpg




DATABASE ID
10430

NAME
Colin dt. St. Lionnon, Nicholas
David, Charlotte

------

IMAGE
10430.jpg




DATABASE ID
10431

NAME
Collongues, Dominique
Ferret, Marie Magdeleine
veuve de Antoine Paris

------

IMAGE
10431.jpg




DATABASE ID
10432

NAME
Coman, Jean
Guevac, Marguerite

------

IMAGE
10432.jpg




DATABASE ID
10433

NAME
Combes, Jean Baptiste
Beaumont, Marguerite
[Beaumon de Granville]
veuve de Jean Ballois de La Boudrie

------

IMAGE
10433.jpg




DATABASE ID
10434

NAME
Commere, Louis
Grossin, Marguerite

------

IMAGE
10434.jpg




DATABASE ID
10435

NAME
Commere, Servan
La Forest de, Marie Anne

------

IMAGE
10435.jpg




DATABASE ID
10436

NAME
Commere, Thomas
Vincent, Charlotte

------

IMAGE
10436.jpg




DATABASE ID
10437

NAME
Consolin, François Pierre
Baillon, Elisabeth

------

IMAGE
10437.jpg




DATABASE ID
10438

NAME
Consolin, Pierre Francois
veuf de Elizabeth Baillon
Diarse, Marie Anne

------

IMAGE
10438.jpg




DATABASE ID
10439

NAME
Convenance, Jacques
La Baucié, Froisine

------

IMAGE
10439.jpg




DATABASE ID
10440

NAME
Courthiau, Mathieu
Galenne, Marie

------

IMAGE
10440.jpg




DATABASE ID
10441

NAME
Cousard, Michel
Boitier, Anne

------

IMAGE
10441.jpg




DATABASE ID
10442

NAME
Coret, Pierre
Sire, Marie
veuve de Jean Darriau

------

IMAGE
10442.jpg




DATABASE ID
10443

NAME
Coriot, Jean Baptiste Nicolas
Gomet [Rodrigue], Marie Michelle

------

IMAGE
10443.jpg




DATABASE ID
10444

NAME
Cormier, Louis
Barbaud, Marie Anne

------

IMAGE
10444.jpg




DATABASE ID
10445

NAME
Corporon, Jean Baptiste
Pinet, Marie

------

IMAGE
10445.jpg




DATABASE ID
10446

NAME
Corporon, Jacques
Corporon, Jean

------

IMAGE
10446.jpg




DATABASE ID
10447

NAME
Corporon, Jean Baptiste (fils)
Baurice, Marie Charlotte

------

IMAGE
10447.jpg




DATABASE ID
10448

NAME
Corporon, Jean Baptiste
Pichot, Jeanne

------

IMAGE
10448.jpg




DATABASE ID
10449

NAME
[Corporon, Jean]
Pichot, Jeanne

------

IMAGE
10449.jpg




DATABASE ID
10450

NAME
Couagne, Jean Baptiste de
Gannes de Falaise, Marguerite Madeleine de

------

IMAGE
10450.jpg




DATABASE ID
10451

NAME
Couagne, Jean Baptiste, veuf de
Mius d'Entrement, Marie Joseph
Gannes de Falaise, Marguerite

------

IMAGE
10451.jpg




DATABASE ID
10452

NAME
Couagne, Michel de
Loppinot, Jeanne de

------

IMAGE
10452.jpg


 

NO DATABASE ID - THIS IMAGE DESCRIPTION WAS MISSED IN THE ORIGINAL DATABASE
10453

NAME
Coustard, Louis
[Anonyme] Marie Louise

------

IMAGE
10453.jpg


DATABASE ID
10454

NAME
Covignac de, Etienne
Beguen, Claudine

------

IMAGE
10454.jpg




DATABASE ID
10455

NAME
Covignac dt Banbreau, Etienne de
Beguin, Claudine

------

IMAGE
10455.jpg




DATABASE ID
10456

NAME
Cressonet dit Beausejour, Jean Francois
Dugas, Marguerite, Veuv De Joseph Gulon

------

IMAGE
10456.jpg



DATABASE ID
10458

NAME
Crochet, Yves
Benoist, Pelagie

------

IMAGE
10458.jpg




DATABASE ID
10459

NAME
Cronier, Jacques, Veuf de Francoise Chevalier
Paris, Marie Flaire

------

IMAGE
10459.jpg




DATABASE ID
10460

NAME
Crory, Jean
Cadet, Marie

------

IMAGE
10460.jpg




DATABASE ID
10461

NAME
Boudier, Jacquette Therese
Cruchon de La Tour, Jean Rene

------

IMAGE
10461.jpg




DATABASE ID
10462

NAME
Cruchon dit La Tour, Jean Rene
Boudier, Jacquette Therese

------

IMAGE
10462.jpg




DATABASE ID
10463

NAME
Jessin, Catherine
Cuist, Denis

------

IMAGE
10463.jpg




DATABASE ID
10464

NAME
Toure, Marie
Cunel, Yves

------

IMAGE
10464.jpg




DATABASE ID
10465

NAME
Dit Cupidon, Jean Baptist
, Catherine Francoise

------

IMAGE
10465.jpg




DATABASE ID
10466

NAME
Gilber, Marie Anne
Daccarrette, Jean

------

IMAGE
10466.jpg




DATABASE ID
10467

NAME
Gonillon, Catherine, veuve de Claude Silvain
Daccarette, Michel, veuf de Jeanne Gonillon

------

IMAGE
10467.jpg




DATABASE ID
10468

NAME
Daccarette, Michel
Gonillon, Jeanne

------

IMAGE
10468.jpg




DATABASE ID
10469

NAME
Daccarette, Michel
La Borde, Manguenite

------

IMAGE
10469.jpg




DATABASE ID
10470

NAME
Daguerre, Baptiste Jean
Trahon, Brigitte

------

IMAGE
10470.jpg




DATABASE ID
10471

NAME
Daguerre, Joannis
Charlan, Marie Anne

------

IMAGE
10471.jpg




DATABASE ID
10472

NAME
Daguerre, Joannis

------

IMAGE
10472.jpg




DATABASE ID
10473

NAME
Daguerre, Joannis

------

IMAGE
10473.jpg




DATABASE ID
10474

NAME
Daguillard dit Villeneuf, Charles
Seliez, Marie Claire

------

IMAGE
10474.jpg




DATABASE ID
10475

NAME
Danguillard St Villeneuve, Charles

------

IMAGE
10475.jpg




DATABASE ID
10476

NAME
Dahy, Louis Alexandre
Longue Epee, Magdelaine, veuve de Coendo

------

IMAGE
10476.jpg




DATABASE ID
10477

NAME
Dallebourg, Jean Marie
Poirier de, Simone

------

IMAGE
10477.jpg




DATABASE ID
10478

NAME
Damestoy de, Pierre
Detchevery, Marie

------

IMAGE
10478.jpg




DATABASE ID
10479

NAME
Dangeac, Gabriel
Bertrand, Marguerite

------

IMAGE
10479.jpg




DATABASE ID
10480

NAME
Dangeac, Gabreil Francois
Lefebvre, Genevieve

------

IMAGE
10480.jpg




DATABASE ID
10481

NAME
Dangeac, Gabriel Francois
Le Febre, Gerevieve

------

IMAGE
10481.jpg




DATABASE ID
10482

NAME
Dangeac de Merville, Michel
De Baulac, Marie Generieve

------

IMAGE
10482.jpg




DATABASE ID
10483

NAME
Dangeac

------

IMAGE
10483.jpg




DATABASE ID
10484

NAME
Dangeac

------

IMAGE
10484.jpg




DATABASE ID
10485

NAME
Deccarette, Michel

------

IMAGE
10485.jpg




DATABASE ID
10486

NAME
Danjou, Jean
Savarie, Marie

------

IMAGE
10486.jpg




DATABASE ID
10487

NAME
Darlars, Bertrand
Vassongne, Marguerite

------

IMAGE
10487.jpg




DATABASE ID
10488

NAME
Danglade, Bertrand
Le Bon, Catherine, veuve de Gabriel Bornie

------

IMAGE
10488.jpg




DATABASE ID
10489

NAME
Dardy dit Chaufournier, Francois
Dusaux Dussaut Duffeaut, Marguerite Veuve de Dubois

------

IMAGE
10489.jpg




DATABASE ID
10490

NAME
Darriau, Jean
Sire, Marie

------

IMAGE
10490.jpg




DATABASE ID
10491

NAME
Daccarette, Jean

------

IMAGE
10491.jpg




DATABASE ID
10492

NAME
Dastary, Joannis
Dastary, la veuve

------

IMAGE
10492.jpg




DATABASE ID
10493

NAME
Dastaris, Joannis

------

IMAGE
10493.jpg




DATABASE ID
10494

NAME
Dastaris, Joannis
De Galbaret, Anne

------

IMAGE
10494.jpg




DATABASE ID
10495

NAME
Daugan, Francois
Seaux, Louise

------

IMAGE
10495.jpg




DATABASE ID
10496

NAME
Daugan, Francois cuf de Louise Saux
Dirube, Catherine

------

IMAGE
10496.jpg




DATABASE ID
10497

NAME
David, Jacque
Lambert, Marie

------

IMAGE
10497.jpg




DATABASE ID
10498

NAME
David, Jacque
Lambert, Marie

------

IMAGE
10498.jpg




DATABASE ID
10499

NAME
Dardy, François

------

IMAGE
10499.jpg




DATABASE ID
10500

NAME
David dit St Michel, Jean Pierre
Mon Millan, Marie Magdelene

------

IMAGE
10500.jpg




DATABASE ID
10501

NAME
David dit St Jean, Jean
Monmillian, Magdalene

------

IMAGE
10501.jpg




DATABASE ID
10502

NAME
David dit St Michel, Jean

------

IMAGE
10502.jpg




DATABASE ID
10503

NAME
David dit St Michel, Jean

------

IMAGE
10503.jpg




DATABASE ID
10504

NAME
David, Sekastien
Hamon, Francoise

------

IMAGE
10504.jpg




DATABASE ID
10505

NAME
David, William Guillaume

------

IMAGE
10505.jpg




DATABASE ID
10506

NAME
Debled, Joseph Marie
Richard, Marie Magdelaine

------

IMAGE
10506.jpg




DATABASE ID
10507

NAME
Debon, Charles
Lemanquet, Gillette

------

IMAGE
10507.jpg




DATABASE ID
10508

NAME
Debroize, Jean Baptiste
Couarde, Francoise

------

IMAGE
10508.jpg




DATABASE ID
10509

NAME
Debroise, Jean Baptishe
Couarde, Francoise

------

IMAGE
10509.jpg




DATABASE ID
10510

NAME
Gannes de Falaise, Michelde
de Catalougne, Elizabeth

------

IMAGE
10510.jpg




DATABASE ID
10511

NAME
Degannes de Talaise, Acadie

------

IMAGE
10511.jpg




DATABASE ID
10512

NAME
Dechartes, Jean Joannis
Rau, Marie Jeanne

------

IMAGE
10512.jpg




DATABASE ID
10513

NAME
Preville, Jean

------

IMAGE
10513.jpg




DATABASE ID
10514

NAME
Preville, la veuve

------

IMAGE
10514.jpg




DATABASE ID
10515

NAME
Decoux, Louis
Ebarhard de Lesperance, Marguexite Henriethe

------

IMAGE
10515.jpg




DATABASE ID
10516

NAME
Delfour, Jean

------

IMAGE
10516.jpg




DATABASE ID
10517

NAME
Decoux, Louis

------

IMAGE
10517.jpg




DATABASE ID
10518

NAME
Delfour, Jean
Orgereille, Charlotte

------

IMAGE
10518.jpg




DATABASE ID
10519

NAME
Delort

------

IMAGE
10519.jpg




DATABASE ID
10520

NAME
Delort

------

IMAGE
10520.jpg




DATABASE ID
10521

NAME
Delort, Guillaume

------

IMAGE
10521.jpg




DATABASE ID
10522

NAME
Delort, Guillaume veuf
Gautier, Charlotte

------

IMAGE
10522.jpg




DATABASE ID
10523

NAME
Delongrais, Louis
Le Breton, Louise

------

IMAGE
10523.jpg




DATABASE ID
10524

NAME
Delort, Louis
Leneuf de la Vallere, Barbe

------

IMAGE
10524.jpg




DATABASE ID
10525

NAME
Delort, Guillaume
Carrerot, Marie Josephe

------

IMAGE
10525.jpg




DATABASE ID
10526

NAME
Delort, Louis
Le Neuf de Lavalliere, Barb

------

IMAGE
10526.jpg




DATABASE ID
10527

NAME
Delpierre, Joseph
Bonneau, Jeanne veuve de Andre Monier

------

IMAGE
10527.jpg




DATABASE ID
10528

NAME
Demaneau, Pierre Joseph
Romain, Jeanne Philippe veuve de Pepin

------

IMAGE
10528.jpg




DATABASE ID
10529

NAME
Demie, Nicolas
Heron, Marie Jeanne

------

IMAGE
10529.jpg




DATABASE ID
10530

NAME
Denis de Bonnaventure, Claude
Denis, Louise Marguerite

------

IMAGE
10530.jpg




DATABASE ID
10531

NAME
Denis de La Ronde, Charles
Daccarette, Marie Jeanne

------

IMAGE
10531.jpg




DATABASE ID
10532

NAME
Denohic, Louis
Milly de La Croix, Marie

------

IMAGE
10532.jpg




DATABASE ID
10533

NAME
Denoux, Eloi
Benoit, Isabelle

------

IMAGE
10533.jpg




DATABASE ID
10534

NAME
Derieux, Pierre
Dubourg, Jeanne Angelique

------

IMAGE
10534.jpg




DATABASE ID
10535

NAME
Derieux, Pierre
Bourg, Marie Jeanne

------

IMAGE
10535.jpg




DATABASE ID
10536

NAME
Derlein, Francois
David de La Fontaine, Catherine veuve de Pierre Pelletier

------

IMAGE
10536.jpg




DATABASE ID
10537

NAME
Des Rochers, Francois
Poirier, Marie Magdelaine

------

IMAGE
10537.jpg




DATABASE ID
10538

NAME
Des Roches, George
Galbaret, Jeanne veuve de Laurent Liboires

------

IMAGE
10538.jpg




DATABASE ID
10539

NAME
Desalhay, Jean
Portier, Marie

------

IMAGE
10539.jpg




DATABASE ID
10540

NAME
Deschamps, Nicolas
isabel, Marie Magdeleine

------

IMAGE
10540.jpg




DATABASE ID
10541

NAME
Dechamp, Nicolas

------

IMAGE
10541.jpg




DATABASE ID
10542

NAME
Despielles, Arnault
Iorivery, Isabelle

------

IMAGE
10542.jpg




DATABASE ID
10543

NAME
Despres, Pierre
Bougy, Marie Joseph

------

IMAGE
10543.jpg




DATABASE ID
10544

NAME
Detchgary dit Achavo, Martin
Vinet, Marie Madeleine

------

IMAGE
10544.jpg




DATABASE ID
10545

NAME
Detchevery, Bertrand
Visandeguy, Jeanne

------

IMAGE
10545.jpg




DATABASE ID
10546

NAME
Detchevery, Bertrand veuf de Jeanne de Visandeguy
Treguy, Jeanne Magdelaine

------

IMAGE
10546.jpg




DATABASE ID
10547

NAME
Detchevery, Bertrand
Bisconde, Jeanne

------

IMAGE
10547.jpg




DATABASE ID
10548

NAME
Detchevery, Tominique
de Cabanne, Catherine

------

IMAGE
10548.jpg




DATABASE ID
10549

NAME
Detchvery, Jean
Lavallee, Marthe

------

IMAGE
10549.jpg




DATABASE ID
10550

NAME
Detchevery, Jean
Dirube, Jeanne

------

IMAGE
10550.jpg




DATABASE ID
10551

NAME
Detchevery de Guichou, Joannis
Raux, Francoise

------

IMAGE
1051.jpg




DATABASE ID
10552

NAME
Detchevery, Pierre
Dirube, Catherine

------

IMAGE
10552.jpg




DATABASE ID
10553

NAME
Detchevery, Pierre
Dirube, Catherine

------

IMAGE
10553.jpg




DATABASE ID
10554

NAME
Dechevelard, Joannis
St Jean de, Luz

------

IMAGE
10554.jpg




DATABASE ID
10555

NAME
Detchevery, Martin
Vinet, Marie

------

IMAGE
10555.jpg




DATABASE ID
10556

NAME
Detchevery, Petrico
Bidart

------

IMAGE
10556.jpg




DATABASE ID
10557

NAME
Devaucene, Georges Thomas
Pascal, Marguenite

------

IMAGE
10557.jpg




DATABASE ID
10558

NAME
D'Estimauville de Beaumouchel, Jean Baptist Philippe
D'Aillebout , Marie Charlotte

------

IMAGE
10558.jpg




DATABASE ID
10559

NAME
Dharmes, Philippe Nicholas
Pinochet Dechesne, Cecile Magdelene

------

IMAGE
10559.jpg




DATABASE ID
10560

NAME
Didion, Antoine
Lessenne, Marie Jeanne

------

IMAGE
10560.jpg




DATABASE ID
10561

NAME
Diturbide, Pierre
Pierree, Francoise Palagie Perrine

------

IMAGE
10561.jpg




DATABASE ID
10562

NAME
Dessaudrais Lossieux, René
Lorant, Jeanne

------

IMAGE
10562.jpg




DATABASE ID
10563

NAME
Dohen, Mathurin
Courte, Marie Catherine

------

IMAGE
10563.jpg




DATABASE ID
10564

NAME
Dominique, Forgeron

------

IMAGE
10564.jpg




DATABASE ID
10565

NAME
Dominique, Jean Bapliste
de la Rue, Marie Therese

------

IMAGE
10565.jpg




DATABASE ID
10566

NAME
Donald, Terry
Mecmelum, Sara

------

IMAGE
10566.jpg




DATABASE ID
10567

NAME
Dornois, Jean
Chapeau, Helene

------

IMAGE
10567.jpg




DATABASE ID
10568

NAME
Docet, Jean
Dauphin, Marie Therese

------

IMAGE
10568.jpg




DATABASE ID
10569

NAME
Douilie, Jacque
Vonons, Marie Rosalie

------

IMAGE
10569.jpg




DATABASE ID
10570

NAME
Douilie, Jacques veuf de Marie Vonons
Gueren, Catherine Louise

------

IMAGE
10570.jpg




DATABASE ID
10571

NAME
Douon, Amant Theadore
Franine, Jeanne veuve de Pierre Pichot

------

IMAGE
10571.jpg




DATABASE ID
10572

NAME
Drieue, Jean
Bernie, Jeanne

------

IMAGE
10572.jpg




DATABASE ID
10573

NAME
Drouet, Louis
Guichard, Marie

------

IMAGE
10573.jpg




DATABASE ID
10574

NAME
Drouet, Louis veuf de Marie Guichard
Yvon, Louise

------

IMAGE
10574.jpg




DATABASE ID
10575

NAME
Drouillet, Simon
Passepartout, Marie Magdelaine

------

IMAGE
10575.jpg




DATABASE ID
10576

NAME
Du Bardier, Jean
Sabot, Marie

------

IMAGE
10576.jpg




DATABASE ID
10577

NAME
Dubois, Antoine
Desuze, Marie Elisabeth

------

IMAGE
10577.jpg




DATABASE ID
10578

NAME
Dubois, Francois
Belanger, Marie Claude

------

IMAGE
10578.jpg




DATABASE ID
10579

NAME
Dubois, Jean
Townshend, Sara Louise Marguenite

------

IMAGE
10579.jpg




DATABASE ID
10580

NAME
Dubois, Robert
Jean, Marie Anne veuve de Louis Milliou

------

IMAGE
10580.jpg




DATABASE ID
10581

NAME
Duboire, Robert
Jean, Marie Anne

------

IMAGE
10581.jpg




DATABASE ID
10582

NAME
Dubreucq, Antoine Florent Joseph
Hourdequin, Marie Jeanne

------

IMAGE
10582.jpg




DATABASE ID
10583

NAME
Durand, Jean
Durand, Jean

------

IMAGE
10583.jpg




DATABASE ID
10584

NAME
Durand, Jean

------

IMAGE
10584.jpg




DATABASE ID
10585

NAME
Degoutin, Francois Marie

------

IMAGE
10585.jpg




DATABASE ID
10586

NAME
Degoutin, Francois Marie veuf de Aubert de la Chenay
de la Fosse, Angelique

------

IMAGE
10586.jpg




DATABASE ID
10587

NAME
Degoutin, Francois Marie
Lafausse, Marie Joseph

------

IMAGE
10587.jpg




DATABASE ID
10588

NAME
Degoutin, Mathieu
Thibaudeau, Jeanne

------

IMAGE
10588.jpg




DATABASE ID
10589

NAME
Degoutin, veuve
Degoutain, noel veuve

------

IMAGE
10589.jpg




DATABASE ID
10590

NAME
Desgoutins

------

IMAGE
10590.jpg




DATABASE ID
10591

NAME
Duno
Duneau, Etienne

------

IMAGE
10591.jpg




DATABASE ID
10592

NAME
Duneau, Etienne

------

IMAGE
10592.jpg




DATABASE ID
10593

NAME
Dugas, Joseph
Richard, Marguerite

------

IMAGE
10593.jpg




DATABASE ID
10594

NAME
Dugas, veuve Accroix

------

IMAGE
10594.jpg




DATABASE ID
10595

NAME
Dugas, Joseph
Le Blanc, Marguenite

------

IMAGE
10595.jpg




DATABASE ID
10596

NAME
Dugue, Francois
Rondel, Magdeleine

------

IMAGE
10596.jpg




DATABASE ID
10597

NAME
Dugue, Francois
Rondel, Marie Magdelaine

------

IMAGE
10597.jpg




DATABASE ID
10598

NAME
Dumaine, Sebastien
Sollee, Marie Louise

------

IMAGE
10598.jpg




DATABASE ID
10599

NAME
Dumas, Jean Baptiste Pierre
Daude, Jeanne Baptiste veuve de Jean Bourgeois

------

IMAGE
10599.jpg




DATABASE ID
10600

NAME
Dumas de de Bon Coeur, Pierre
Ferret, Marie Magdeleine

------

IMAGE
10600.jpg




DATABASE ID
10601

NAME
Dumast, Franccois
Vinet, Marguerite

------

IMAGE
10601.jpg




DATABASE ID
10602

NAME
Degoutin, Francois Marie
Aubert de la Chenay, Angelique

------

IMAGE
10602.jpg




DATABASE ID
10603

NAME
Duneau, Etienne
Auger, Marie Anne

------

IMAGE
10603.jpg




DATABASE ID
10604

NAME
Bourdon Dombourg, Jean Francois
Gautier, Marguenite

------

IMAGE
10604.jpg




DATABASE ID
10605

NAME
Alexis de Verteuil, Jacques
Dupont de Gourville, Marie Josephe

------

IMAGE
10605.jpg




DATABASE ID
10606

NAME
Verteuil de , Jacque Alexis
Dupont Duvivier de Gourville, Marie Josephe

------

IMAGE
10606.jpg




DATABASE ID
10607

NAME
Duport, Pierre
Metayer, Jeanne

------

IMAGE
10607.jpg




DATABASE ID
10608

NAME
Durand, Charles
Heros, Anneth

------

IMAGE
10608.jpg




DATABASE ID
10609

NAME
Durand, Charles

------

IMAGE
10609.jpg




DATABASE ID
10610

NAME
Dupont Duvivier, Joseph
Leborgne de Belle Isle, Marie Josephe veuve de Jacques Pehippe Urbain

------

IMAGE
10610.jpg




DATABASE ID
10611

NAME
Dupont du vivier, Joseph

------

IMAGE
10611.jpg




DATABASE ID
10612

NAME
Dupont Duvivier, Francois
Mius Dantrement, Marie

------

IMAGE
10612.jpg




DATABASE ID
10613

NAME
Duvivier, Mael

------

IMAGE
10613.jpg




DATABASE ID
10614

NAME
Dupont Duvivier de vane de Medilliac, Francois
Lafitte, Anne Magdelaine

------

IMAGE
10614.jpg




DATABASE ID
10615

NAME
Dupont de Gourville, Michel
Gautier, Marie Josephe

------

IMAGE
10615.jpg




DATABASE ID
10616

NAME
Ddupont Duvivier de Gourville, Michel
Gaultier, Marie Josephe

------

IMAGE
10616.jpg




DATABASE ID
10617

NAME
Dupont Duchambon, Jean Baptiste Ange
Roma, Marie Anne

------

IMAGE
10617.jpg




DATABASE ID
10618

NAME
Dupont Duchambon, Francois
Mus Dantrement, Marie Josephe veuve de Couaigne

------

IMAGE
10618.jpg




DATABASE ID
10619

NAME
Dupont du Chambon, Francois
Dantremond, Marie Joseph

------

IMAGE
10619.jpg




DATABASE ID
10620

NAME
Dupont, Duchambon

------

IMAGE
10620.jpg




DATABASE ID
10621

NAME
Durand, Jean Baptiste
Boutret, Marie Ceide

------

IMAGE
10621.jpg




DATABASE ID
10622

NAME
Durant, Honore
Labinelle, Jeanne

------

IMAGE
10622.jpg




DATABASE ID
10623

NAME
Dupont Duchambon, Louis
Mius Dantrement, Jeanne

------

IMAGE
10623.jpg




DATABASE ID
10624

NAME
Duronea, Martin
Dupont, Perrine

------

IMAGE
10624.jpg




DATABASE ID
10625

NAME
Durassier, Pierre
Estans, Catherine

------

IMAGE
10625.jpg




DATABASE ID
10626

NAME
Durassier, Pierre
Autan, Catherine

------

IMAGE
10626.jpg




DATABASE ID
10627

NAME
Dutraque, Jean
Lamoureux, Marie Anne

------

IMAGE
10627.jpg




DATABASE ID
10628

NAME
Dutraque, Jean

------

IMAGE
10628.jpg




DATABASE ID
10629

NAME
Dutraque, Jean

------

IMAGE
10629.jpg




DATABASE ID
10630

NAME
Dutraque, Jean Baptiste
La Fitte, Jeanne Bernardine

------

IMAGE
10630.jpg




DATABASE ID
10631

NAME
Duval, Antoine
Commere, Marguenite

------

IMAGE
10631.jpg




DATABASE ID
10632

NAME
Duval, Antpine
Thesson dit La Floury, Pierrine Marguenite

------

IMAGE
10632.jpg




DATABASE ID
10633

NAME
Duval, Samson
La Chuer, Jacquette

------

IMAGE
10633.jpg




DATABASE ID
10634

NAME
Duval Dit Sans Chagrin, Francois
Mercier, Anne Marie

------

IMAGE
10634.jpg




DATABASE ID
10635

NAME
Ebarhard de L'Esperance, Charles Leopold
Dangeac, Marguerite Francoise

------

IMAGE
10635.jpg




DATABASE ID
10636

NAME
D'Espiet de Pensens de La Plaigne, Pierre Paul
Delort, Marie Charlotte

------

IMAGE
10636.jpg




DATABASE ID
10637

NAME
Etourneaux, Pierre
Toussaint, Angelique

------

IMAGE
10637.jpg




DATABASE ID
10638

NAME
L'Etrange, Antoine
[Romain dit Antoine]
Paulin, Isabelle

------

IMAGE
10638.jpg




DATABASE ID
10639

NAME
Eurry de la Perrelle, Jean-Francois
Aubert de la Chesnay, Charlotte

------

IMAGE
10639.jpg




DATABASE ID
10640

NAME
Faucheux dit Langevin, Mathurin
Meran, Genevieve

------

IMAGE
10640.jpg




DATABASE ID
10641

NAME
Fautoux, Leon
Lartigue, Marie Magdeleine

------

IMAGE
10641.jpg




DATABASE ID
10642

NAME
Fautoux, Leon
Lartigue, Marie Magdalene

------

IMAGE
10642.jpg




DATABASE ID
10643

NAME
Faveau, Jean
Ringlé, Marie Anne

------

IMAGE
10643.jpg




DATABASE ID
10644

NAME
Feret dit Brise Barrier, Louis
Le Nouvel, Perrine

------

IMAGE
10644.jpg




DATABASE ID
10645

NAME
Fillipot, Basille
Vincant, Lorance

------

IMAGE
10645.jpg




DATABASE ID
10646

NAME
Fizel, Julien
Detchevery, Marie

------

IMAGE
10646.jpg




DATABASE ID
10647

NAME
Fizel, Julien

------

IMAGE
10647.jpg




DATABASE ID
10648

NAME
Fizel, Julien
Tetard, Françoise

------

IMAGE
10648.jpg




DATABASE ID
10649

NAME
Fleury, Jean
Varem, Magdelaine

------

IMAGE
10649.jpg




DATABASE ID
10650

NAME
Floret, François
Millot, Marie

------

IMAGE
10650.jpg




DATABASE ID
10651

NAME
Fontaine, Pierre
Le Breton, Marie

------

IMAGE
10651.jpg




DATABASE ID
10652

NAME
Forest, Julien
Deschamps, Marie Anne

------

IMAGE
10652.jpg




DATABASE ID
10653

NAME
Forte, Jean
Duret, Marie

------

IMAGE
10653.jpg




DATABASE ID
10654

NAME
Foulon, Jean
Baudry, Jeanne, veuve de Clermont dit La Rose

------

IMAGE
10654.jpg




DATABASE ID
10655

NAME
Foure, Julien
Ducharme, Marie Anne

------

IMAGE
10655.jpg




DATABASE ID
10656

NAME
Fournel, Jacques
Poirier, Marie Jeanne

------

IMAGE
10656.jpg




DATABASE ID
10657

NAME
Fougre, Pierre
Voisin, Marie

------

IMAGE
10657.jpg




DATABASE ID
10658

NAME
Francis, Simon
Allin, Catherine

------

IMAGE
10658.jpg




DATABASE ID
10659

NAME
François, Henry Joseph
Maris, Marie Madeleine

------

IMAGE
10659.jpg




DATABASE ID
10660

NAME
Fretel, François
Tetard dit Paris, Marie Josephe

------

IMAGE
10660.jpg




DATABASE ID
10661

NAME
Fretel, Francoise
Testard, Marie Joseph

------

IMAGE
10661.jpg


NO DATABASE ID - THIS IMAGE DESCRIPTION WAS MISSED IN THE ORIGINAL DATABASE
10662

NAME
Frican, Jacques

------

IMAGE
10662.jpg


NO DATABASE ID - THIS IMAGE DESCRIPTION WAS MISSED IN THE ORIGINAL DATABASE
10663

NAME
Frican, Jacques

------

IMAGE
10663.jpg


NO DATABASE ID - THIS IMAGE DESCRIPTION WAS MISSED IN THE ORIGINAL DATABASE
10664

NAME
Frican, Jacques

------

IMAGE
10664.jpg



DATABASE ID
10665

NAME
Friquant, Jacque
Boucher dit Morancy, Marie Magdeleine

------

IMAGE
10665.jpg




DATABASE ID
10666

NAME
Friquant, Jacque, veuf de Marie Boche
Dauphin, Angélique

------

IMAGE
10666.jpg




DATABASE ID
10667

NAME
Friquant, Jacques Martin
Rabas, Lapichardiere

------

IMAGE
10667.jpg




DATABASE ID
10668

NAME
Friquant, Louis
Corporon, Jeanne Charlotte

------

IMAGE
10668.jpg




DATABASE ID
10669

NAME
Fusillier, Nicolas
Vize, Marie Anne, veuve de Guillaume Renault

------

IMAGE
10669.jpg




DATABASE ID
10670

NAME
Gabanou dit Belair, Mathieu
Moreau, Marie, veuve de Pierre Rosard [Roussard]

------

IMAGE
10670.jpg




DATABASE ID
10671

NAME
Gabillet, Pierre
Giroux, Marie

------

IMAGE
10671.jpg




DATABASE ID
10672

NAME
Gadiou, Pierre
Malfait, Marie Françoise

------

IMAGE
10672.jpg




DATABASE ID
10673

NAME
Gaillard, François
Girard, Elizabeth

------

IMAGE
10673.jpg




DATABASE ID
10674

NAME
Gaillard, François
Girard, Isabeau

------

IMAGE
10674.jpg




DATABASE ID
10675

NAME
Gallion dit Preville, Jean
Bocher, Jeanne

------

IMAGE
10675.jpg




DATABASE ID
10676

NAME
Galoudet, Louis
Guay, Marie Josephe

------

IMAGE
10676.jpg




DATABASE ID
10677

NAME
Gannes de Falaise, Michel
Catalogne, de Elisabeth

------

IMAGE
10677.jpg




DATABASE ID
10678

NAME
Gannon, Guillaume
Lepoort, Helene

------

IMAGE
10678.jpg




DATABASE ID
10679

NAME
Garange, Jean
Liette, Marie Elisabeth

------

IMAGE
10679.jpg




DATABASE ID
10680

NAME
Garray, François
Bailly, Isabelle, veuve de Louis Chevalier

------

IMAGE
10680.jpg




DATABASE ID
10681

NAME
Gassot, Louis, veuf de Anne de [Saleuin]Coupiaux
Des Roches, Jeanne

------

IMAGE
10681.jpg




DATABASE ID
10682

NAME
Gaudichon, Jean
Harnois, Marie Josephe

------

IMAGE
10682.jpg




DATABASE ID
10683

NAME
Gaudin, Nicolas
Guymerat, Anne

------

IMAGE
10683.jpg




DATABASE ID
10684

NAME
Gaudin, Nicolas
Gaudin, Nicolas

------

IMAGE
10684.jpg




DATABASE ID
10685

NAME
Gaudin, Nicolas

------

IMAGE
10685.jpg




DATABASE ID
10686

NAME
Gaultier, Pierre
La Forest, Jeanne

------

IMAGE
10686.jpg




DATABASE ID
10687

NAME
Gaultier dit Ciceron, Pierre
Anguenau, Pierrette

------

IMAGE
10687.jpg




DATABASE ID
10688

NAME
Gautier, Pierre
Baudouin Le Cluseau, Marie Jeanne

------

IMAGE
10688.jpg




DATABASE ID
10689

NAME
Gelosse, Jean
Laborde, Catherine

------

IMAGE
10689.jpg




DATABASE ID
10690

NAME
Gelor, Joannis

------

IMAGE
10690.jpg




DATABASE ID
10691

NAME
Gelore, Joanis
Laborde, Catherine

------

IMAGE
10691.jpg




DATABASE ID
10692

NAME
Geofroy dit L'Eville, Pierre
Diette, Marguerite

------

IMAGE
10692.jpg




DATABASE ID
10693

NAME
Gerard, Yves
Paris, Marie Jeanne

------

IMAGE
10693.jpg




DATABASE ID
10694

NAME
Gerbauld, Etienne
Rosse, Jeanne

------

IMAGE
10694.jpg




DATABASE ID
10695

NAME
Germain, Jacque
Tonsu, Marguerite

------

IMAGE
10695.jpg




DATABASE ID
10696

NAME
Germin, Mathurin
Danjoue, Marie Jeanne

------

IMAGE
10696.jpg




DATABASE ID
10697

NAME
Giboire dit lamotte, Martin
Bono, Marie veuve d'un nommé Tulon

------

IMAGE
10697.jpg




DATABASE ID
10698

NAME
Girardin, Pierre
Le Jeune, Marguerite veuve de Antoine Ivon

------

IMAGE
10698.jpg




DATABASE ID
10699

NAME
Giraud, René
Duneau, Marie Madeleine

------

IMAGE
10699.jpg




DATABASE ID
10700

NAME
Gilbert, Louis
Goguelin, Marie

------

IMAGE
10700.jpg




DATABASE ID
10701

NAME
Gode, François
Viard, Antoinette

------

IMAGE
10701.jpg




DATABASE ID
10702

NAME
Golfroy de Colzy, Joseph Art, Ferdinant
Semidon, Guillemette Pelagie

------

IMAGE
10702.jpg




DATABASE ID
10703

NAME
Gomerien, Louis
Herpe, Françoise, veuve de Mathieu Thurin

------

IMAGE
10703.jpg




DATABASE ID
10704

NAME
Gommerien, Julien
Fort, Marguerite, veuve de François Beaugelot

------

IMAGE
10704.jpg




DATABASE ID
10705

NAME
Gosselin, Robert julien
Thesson La Floury, Louise, veuve de George Subtil

------

IMAGE
10705.jpg




DATABASE ID
10706

NAME
Gosselin, Robert

------

IMAGE
10706.jpg




DATABASE ID
10707

NAME
Goubert dit Pontarli, François
Le Vanie, Elisabeth veuve de Pierre Chouteau

------

IMAGE
10707.jpg




DATABASE ID
10708

NAME
Goubert de Pontarly, François

------

IMAGE
10708.jpg




DATABASE ID
10709

NAME
Goubey, Nicolas Charles
Martin, Marie Madeleine Marguerite

------

IMAGE
10709.jpg




DATABASE ID
10710

NAME
Goudelin, François
Fessies, Marie

------

IMAGE
10710.jpg




DATABASE ID
10711

NAME
Goufrant dit Delage, Jean
Bonnier, Jeanne

------

IMAGE
10711.jpg




DATABASE ID
10712

NAME
Goulevin, Henry
Bauché, Jeanne, veuve de Pierre Raux

------

IMAGE
10712.jpg




DATABASE ID
10713

NAME
Gourdon, Antoine
Martin, Angelique

------

IMAGE
10713.jpg




DATABASE ID
10714

NAME
Gourdé, Laurent
Dusaux, Marie Madeleine

------

IMAGE
10714.jpg




DATABASE ID
10715

NAME
Gourdon, Mathieu
Guerard, Jeanne

------

IMAGE
10715.jpg




DATABASE ID
10716

NAME
Gousaume, Jean
Tessier, Marie

------

IMAGE
10716.jpg




DATABASE ID
10717

NAME
Gouy, Claude
Brun, Magdelaine

------

IMAGE
10717.jpg




DATABASE ID
10718

NAME
Grabecil, François
Le Teille, Geneviève

------

IMAGE
10718.jpg




DATABASE ID
10719

NAME
Grandet, Lauren [Laurent

------

IMAGE
10719.jpg




DATABASE ID
10720

NAME
Grant, Maurice
Donovan, Elizabeth

------

IMAGE
10720.jpg




DATABASE ID
10721

NAME
Grasset, Gabriel
Ballay, Louise Théotiste

------

IMAGE
10721.jpg




DATABASE ID
10722

NAME
Greffin, Louis
Rau, Marie, veuve de Jean Jacque le Moine

------

IMAGE
10722.jpg




DATABASE ID
10723

NAME
Gregoire, de Jean Pierre
Trestout, Suzanne

------

IMAGE
10723.jpg




DATABASE ID
10724

NAME
Grenet, Jacques Servan
Langot, Marie Jeanne

------

IMAGE
10724.jpg




DATABASE ID
10725

NAME
Grepin, Gille
Salmon, Jeanne

------

IMAGE
10725.jpg




DATABASE ID
10726

NAME
Grangeau, François
Dubois, Marie Madeleine

------

IMAGE
10726.jpg




DATABASE ID
10727

NAME
Grangau, françois

------

IMAGE
10727.jpg




DATABASE ID
10728

NAME
Grenard dit Belaire, Jean, veuf de Jeanne Ozelet
Fillant, Marie

------

IMAGE
10728.jpg




DATABASE ID
10729

NAME
Grenarde, Jean
Guernard dit Belleaire, Jean

------

IMAGE
10729.jpg




DATABASE ID
10730

NAME
Grenard dit Belair, Jean
Ozelet, Jeanne Marthe

------

IMAGE
10730.jpg




DATABASE ID
10731

NAME
Grenard dit Belaire, Nicolas
Perigault, Marie Elizabeth

------

IMAGE
10731.jpg




DATABASE ID
10732

NAME
Griffon, Timothy
Haze, Marie

------

IMAGE
10732.jpg




DATABASE ID
10733

NAME
Grimaud, François
Giraudau, Luce

------

IMAGE
10733.jpg




DATABASE ID
10734

NAME
Grimaud, Françoise
Girandau, Luce

------

IMAGE
10734.jpg




DATABASE ID
10735

NAME
Grimau, François

------

IMAGE
10735.jpg




DATABASE ID
10736

NAME
Grimillet, Nicolas Henry
Laborde, Françoise

------

IMAGE
10736.jpg




DATABASE ID
10737

NAME
Gros, Arnaud
Guernard, Jeanne

------

IMAGE
10737.jpg




DATABASE ID
10738

NAME
Gueret, Claude
Tanquerel, Jeanne, veuve de Jacque Rabas

------

IMAGE
10738.jpg




DATABASE ID
10739

NAME
Greret, Claude
Tanguerel, Jeanne

------

IMAGE
10739.jpg




DATABASE ID
10740

NAME
Guibert dit La Rosée
Moran, Helène

------

IMAGE
10740.jpg




DATABASE ID
10741

NAME
Guibert, Mathieu

------

IMAGE
10741.jpg




DATABASE ID
10742

NAME
Guichon [Guilyou], Jean
Detchevery, Louise

------

IMAGE
10742.jpg




DATABASE ID
10743

NAME
Guichon, Pierre
Perrin, Marie louise

------

IMAGE
10743.jpg




DATABASE ID
10744

NAME
Guillaume, Julien
Vallet, Guillemette

------

IMAGE
10744.jpg




DATABASE ID
10745

NAME
Guillet, Jacque Mathieu
Gallion dit Preville, Anne Jeanne Angélique

------

IMAGE
10745.jpg




DATABASE ID
10746

NAME
Guillet, Jacque-Joseph
Gallion Preville, Jeanne Angelique

------

IMAGE
10746.jpg




DATABASE ID
10747

NAME
Guilleton dit Laroche, Jean, veuf de [M, Martin]
Bertel (T), Marguerite, veuve de André Vilfayo dit La Pierre

------

IMAGE
10747.jpg




DATABASE ID
10748

NAME
Guilleton dit La Roche, Jean

------

IMAGE
10748.jpg




DATABASE ID
10749

NAME
Guilloleau, Henry Jean
Grossin, Marie, veuve de Jean Le Prieur

------

IMAGE
10749.jpg




DATABASE ID
10750

NAME
Guillory, Jean
Bouris, Marie Charlotte

------

IMAGE
10750.jpg




DATABASE ID
10751

NAME
Guillory, Jean
Baurice, Marie Charlotte, veuve Corporon

------

IMAGE
10751.jpg




DATABASE ID
10752

NAME
Guiloton, Jean
Grosarist, Marie

------

IMAGE
10752.jpg




DATABASE ID
10753

NAME
Guilton dit La Roche
Martin, Marguerite

------

IMAGE
10753.jpg




DATABASE ID
10754

NAME
Guyon, Jean Baptiste
Lachaume, Anne Magdeleine

------

IMAGE
10754.jpg




DATABASE ID
10755

NAME
Guyon, Baptiste
Dion, Baptiste

------

IMAGE
10755.jpg




DATABASE ID
10756

NAME
Guyon, Pierre
Morbeu, Jeanne

------

IMAGE
10756.jpg




DATABASE ID
10757

NAME
Guyon, Jean François
Petitpas, Geneviève

------

IMAGE
10757.jpg




DATABASE ID
10758

NAME
Guion [under sauvage], Jean
[Pierre Jean], Louise

------

IMAGE
10758.jpg




DATABASE ID
10759

NAME
Guyon, Jean Baptiste
Commere, Gilette, veuve de Alexandre Diars

------

IMAGE
10759.jpg




DATABASE ID
10760

NAME
Haché Baptiste
Gentil, Marie Anne

------

IMAGE
10760.jpg




DATABASE ID
10761

NAME
Guilleton dit La Roche, Jean

------

IMAGE
10761.jpg




DATABASE ID
10762

NAME
Halbaut, Guillaume
Garnier, Marie

------

IMAGE
10762.jpg




DATABASE ID
10763

NAME
Hamon, Jean
Daguerre, Marie Renée

------

IMAGE
10763.jpg




DATABASE ID
10764

NAME
Hamon, Jean
[Daguer, Marie]

------

IMAGE
10764.jpg




DATABASE ID
10765

NAME
Harbonne, Joseph
Larre, Saubade

------

IMAGE
10765.jpg




DATABASE ID
10766

NAME
Harnois, Jean
Pinet, Marguerite

------

IMAGE
10766.jpg




DATABASE ID
10767

NAME
Hauteville, François
[Le Goff]- Dubordieu, Anne, veuve Richard

------

IMAGE
10767.jpg




DATABASE ID
10768

NAME
Hebert, Michel
Goudrot, Marguerite

------

IMAGE
10768.jpg




DATABASE ID
10769

NAME
Hebert, Ambroise
Le Jeune, Félicité

------

IMAGE
10769.jpg




DATABASE ID
10770

NAME
Hébert, Guillaume
Retif, Jeanne

------

IMAGE
10770.jpg




DATABASE ID
10771

NAME
dit Hector, Joseph
[ ], Victoire

------

IMAGE
10771.jpg




DATABASE ID
10772

NAME
Hemerle, Jean
Stroubein, Marie-Anne

------

IMAGE
10772.jpg




DATABASE ID
10773

NAME
Heningre, Siyte-françois
Sterin, Anne Marie

------

IMAGE
10773.jpg




DATABASE ID
10774

NAME
Henry, Charles
Pere, Jeanne Marie, veuve de Martin Benoit

------

IMAGE
10774.jpg




DATABASE ID
10775

NAME
Heron, Martin
Imbert, Marguerite

------

IMAGE
10775.jpg




DATABASE ID
10776

NAME
Herpin, Pierre
Desroche, Marie

------

IMAGE
10776.jpg




DATABASE ID
10777

NAME
Herpin, Pierre
Desroches, Marie

------

IMAGE
10777.jpg




DATABASE ID
10778

NAME
Herpin, Pierre, veuf de Marie Desroche
Gourdon, Marie Joseph

------

IMAGE
10778.jpg




DATABASE ID
10779

NAME
Herpin, Pierre
Desroches, Marie

------

IMAGE
10779.jpg




DATABASE ID
10780

NAME
Herpin dit La Ramée, René
Robin, Sebastien

------

IMAGE
10780.jpg




DATABASE ID
10781

NAME
Herpin dit La Ramée, René
Robin, Sebastienne

------

IMAGE
10781.jpg




DATABASE ID
10782

NAME
Heron, Martin
Lambert, Marguerite

------

IMAGE
10782.jpg




DATABASE ID
10783

NAME
Herpe, François
Piraut, Anne

------

IMAGE
10783.jpg




DATABASE ID
10784

NAME
Herpe, François
Pireau, Anne

------

IMAGE
10784.jpg




DATABASE ID
10785

NAME
Herpin dit La Ramée, Charles
Philipon, Jeanne

------

IMAGE
10785.jpg




DATABASE ID
10786

NAME
Herpin dit La Ramée, Charles
Phelipeau, Jeanne

------

IMAGE
10786.jpg




DATABASE ID
10787

NAME
Hertel de Cournoyer, Michel
Degoutin, Anne

------

IMAGE
10787.jpg




DATABASE ID
10788

NAME
Hertel de Rouville, Louis Antoine
Gaultier, Therèse, veuve Philippe Carrerot

------

IMAGE
10788.jpg




DATABASE ID
10789

NAME
Hill [Hiele], Thomas
Desem, Marie

------

IMAGE
10789.jpg




DATABASE ID
10790

NAME
Heslouin, François
Languille, Gabrielle

------

IMAGE
10790.jpg




DATABASE ID
10791

NAME
Helouin, Françoise
Tanguy, Gabrielle

------

IMAGE
10791.jpg




DATABASE ID
10792

NAME
Hiriard [fils], Jean
Bochet de St. Martin, Marie Anne

------

IMAGE
10792.jpg




DATABASE ID
10793

NAME
Hiriard, Jean
[Saint Martin, Marie Anne]

------

IMAGE
10793.jpg




DATABASE ID
10794

NAME
Hirigoen

------

IMAGE
10794.jpg




DATABASE ID
10795

NAME
René de La Rammée
La Ramée

------

IMAGE
10795.jpg




DATABASE ID
10796

NAME
La Ramée
Herpin dit La Ramée

------

IMAGE
10796.jpg




DATABASE ID
10797

NAME
Herpin dit La Ramée, René
Herpin dit La Ramée

------

IMAGE
10797.jpg




DATABASE ID
10798

NAME
Hornsby, Thomas
Hart, Elizabeth

------

IMAGE
10798.jpg




DATABASE ID
10799

NAME
Houry, Charles
Barret, Magdeleine

------

IMAGE
10799.jpg




DATABASE ID
10800

NAME
Hudos, Louis
Dubois, Louise

------

IMAGE
10800.jpg




DATABASE ID
10801

NAME
Huisse, Antoine
Sudois, Jeanne

------

IMAGE
10801.jpg




DATABASE ID
10802

NAME
Iger, Jacques
Vrigneau, Marie Anne

------

IMAGE
10802.jpg




DATABASE ID
10803

NAME
Iger, Jacque
Urigneaut, Marie Anne

------

IMAGE
10803.jpg




DATABASE ID
10804

NAME
Iam, Jean
Gelin, Perinne

------

IMAGE
10804.jpg




DATABASE ID
10805

NAME
Imbert, Bertrand
La Grange, Anne louise

------

IMAGE
10805.jpg




DATABASE ID
10806

NAME
Imbert, Bertrand

------

IMAGE
10806.jpg




DATABASE ID
10807

NAME
Jacau, Thomas
Melançon, Anne

------

IMAGE
10807.jpg




DATABASE ID
10808

NAME
Jacau, Daniel [Thomas]probably

------

IMAGE
10808.jpg




DATABASE ID
10809

NAME
Jacau, Thomas

------

IMAGE
10809.jpg




DATABASE ID
10810

NAME
Jacque Main dit lorain, Pierre
Hacher, Marguerite

------

IMAGE
10810.jpg




DATABASE ID
10811

NAME
Jacques, Nicolas
Lanno, Marie-angélique

------

IMAGE
10811.jpg




DATABASE ID
10812

NAME
Jean, Jacques, veuf de Jeanne Tanerel
Blanchard, Marie Therese, veuve de Silvain Semidon

------

IMAGE
10812.jpg




DATABASE ID
10813

NAME
Jean, Jacque
Tanguerel, Pirette

------

IMAGE
10813.jpg


NO DATABASE ID - THIS IMAGE DESCRIPTION WAS MISSED IN THE ORIGINAL DATABASE
10814

NAME
St. Ainshome
St. Antoine

------

IMAGE

10814.jpg


NO DATABASE ID - THIS IMAGE DESCRIPTION WAS MISSED IN THE ORIGINAL DATABASE
10815

NAME
L'Etrange dt. St. Antoine, Antoine

------

IMAGE

10815.jpg


 

NO DATABASE ID - THIS IMAGE DESCRIPTION WAS MISSED IN THE ORIGINAL DATABASE
10816

NAME
Romain, Antoine
L'Etrange, Antoine

------

IMAGE

10816.jpg




DATABASE ID
10817

NAME
Jegado dit Deschamps, Mathurin
Gusternec, Louise Anne

------

IMAGE
10817.jpg




DATABASE ID
10818

NAME
Dechamps, Jegado

------

IMAGE
10818.jpg




DATABASE ID
10819

NAME
Jegado dit Deschamps, Mathurin
Gusternek, Marie Louise Anne

------

IMAGE
10819.jpg




DATABASE ID
10820

NAME
Joseph, Mathurin
Gourdet, Marie Anne

------

IMAGE
10820.jpg




DATABASE ID
10821

NAME
Josset [Joseph], Mathurin
Gourdet [Goudet], Marie Anne

------

IMAGE
10821.jpg




DATABASE ID
10822

NAME
Joubert, Pierre
L'étrange, Marie Angelique

------

IMAGE
10822.jpg




DATABASE ID
10823

NAME
Joubert, Simon
Doucet, Marguerite

------

IMAGE
10823.jpg




DATABASE ID
10824

NAME
Jouet, Louis
Peré, Louise

------

IMAGE
10824.jpg




DATABASE ID
10825

NAME
Jouet, Louis

------

IMAGE
10825.jpg




DATABASE ID
10826

NAME
Jouet, Louis
Père, Louise

------

IMAGE
10826.jpg




DATABASE ID
10827

NAME
Jouin dit Lajoye, Pierre René
Baucher, Magdeleine, veuve de Simon Rondel

------

IMAGE
10827.jpg




DATABASE ID
10828

NAME
Joullin, Jean
Gaultier, Marie

------

IMAGE
10828.jpg




DATABASE ID
10829

NAME
Jourdan, Julien
Philipot, Marie

------

IMAGE
10829.jpg




DATABASE ID
10830

NAME
Jourdan, Julien
Philiput, Marie

------

IMAGE
10830.jpg




DATABASE ID
10831

NAME
Joyeux, François
Lecuyer dit Le Senecat, Anne Madeleine

------

IMAGE
10831.jpg




DATABASE ID
10832

NAME
Jusse, Antoine
Sudouas, Jeanne

------

IMAGE
10832.jpg




DATABASE ID
10833

NAME
Klem, Jean Adam
Ragot, Anne

------

IMAGE
10833.jpg




DATABASE ID
10834

NAME
Koch dit Belaire, André
Feret, Marie Charlotte

------

IMAGE
10834.jpg




DATABASE ID
10835

NAME
Koll, André
Velvin, Madeleine

------

IMAGE
10835.jpg




DATABASE ID
10836

NAME
Koller, Jodochus
Auger dit grandchamps, Marie-Catherine

------

IMAGE
10836.jpg




DATABASE ID
10837

NAME
Koller, Judokua

------

IMAGE
10837.jpg




DATABASE ID
10838

NAME
La Barre, Antoine
Le jeune, Catherine

------

IMAGE
10838.jpg




DATABASE ID
10839

NAME
Laby, Jean [Joannis]
Desclos, Dominique

------

IMAGE
10839.jpg




DATABASE ID
10840

NAME
La Brouche, Pierre
Chevalier, Marie Geneviève

------

IMAGE
10840.jpg




DATABASE ID
10841

NAME
La Borde, Jean-Baptiste
Dupuy, Louise, veuve de Thomas Milly

------

IMAGE
10841.jpg




DATABASE ID
10842

NAME
Laborde, Jean Baptiste
Dupuy, Louise

------

IMAGE
10842.jpg




DATABASE ID
10843

NAME
Labrouche, Pierre
Chevalier, [Geneviève Elizabeth]

------

IMAGE
10843.jpg




DATABASE ID
10844

NAME
Labour, François Marie
Prigent, Louise Françoise

------

IMAGE
10844.jpg




DATABASE ID
10845

NAME
La Butte Frerot, Guillaume
Le Neuf de La Valliere, Marie Anne

------

IMAGE
10845.jpg




DATABASE ID
10846

NAME
La Chaume, Joseph
Samson, Marie Magdeleine, veuve Jean Richard

------

IMAGE
10846.jpg




DATABASE ID
10847

NAME
La Chaume, Madame
[La Vauchairon]

------

IMAGE
10847.jpg




DATABASE ID
10848

NAME
La Chaume
La Chaume

------

IMAGE
10848.jpg




DATABASE ID
10849

NAME
Le Chambour, Louis
La Chauline, Louis

------

IMAGE
10849.jpg




DATABASE ID
10850

NAME
La Chaume

------

IMAGE
10850.jpg




DATABASE ID
10851

NAME
La Chaume, Louis
Treguer, Marie Madeleine

------

IMAGE
10851.jpg




DATABASE ID
10852

NAME
Lachaume, Joseph
Sanson, Anne Magdalène

------

IMAGE
10852.jpg




DATABASE ID
10853

NAME
de La Choux, Jean
Baurice, Marie Anne

------

IMAGE
10853.jpg




DATABASE ID
10854

NAME
La Fitte, Bernard
Tallard, Marie Elizabeth

------

IMAGE
10854.jpg




DATABASE ID
10855

NAME
De La Fôrest, Marc Antoine
Courthiau, Marie Anne

------

IMAGE
10855.jpg




DATABASE ID
10856

NAME
La Fôrest

------

IMAGE
10856.jpg




DATABASE ID
10857

NAME
De La Fôrest, Marc Antoine
La Fargue, Jeanne

------

IMAGE
10857.jpg




DATABASE ID
10858

NAME
La Fourcade, Jérôme
Guerard, Marguerite [Jeanne] veuve de Mathieu Gourdon

------

IMAGE
10858.jpg




DATABASE ID
10859

NAME
Lage dit Latulippe, Alexandre
Grandin, Marie Louise, veuve de Pierre Laurent

------

IMAGE
10859.jpg




DATABASE ID
10860

NAME
Lagoannère, Blaise
Daccarette, Catherine

------

IMAGE
10860.jpg




DATABASE ID
10861

NAME
Lagoanire, Blaise
Daccarette, Catherine

------

IMAGE
10861.jpg




DATABASE ID
10862

NAME
La Goannère, Blaize

------

IMAGE
10862.jpg




DATABASE ID
10863

NAME
Lagoanère, Cyprien
Parieillac, Anne

------

IMAGE
10863.jpg




DATABASE ID
10864

NAME
Lagoanire, Cyprien
Paouilla, Anne

------

IMAGE
10864.jpg




DATABASE ID
10865

NAME
Lagrange, Jean Baptiste Martin
Maisonat, Anne

------

IMAGE
10865.jpg




DATABASE ID
10866

NAME
Lagrange, Jean Baptiste Martin
Maisonnat, Anne

------

IMAGE
10866.jpg




DATABASE ID
10867

NAME
La Liège, Denis
Cecan, Catherine

------

IMAGE
10867.jpg




DATABASE ID
10868

NAME
Lamare, Yves
Thesson La Floury

------

IMAGE
10868.jpg




DATABASE ID
10869

NAME
La Grange
La Grange

------

IMAGE
10869.jpg




DATABASE ID
10870

NAME
La Grange, Jean
La Grange, Jean

------

IMAGE
10870.jpg




DATABASE ID
10871

NAME
Lambert, Olivier
Pichot, Marie Anne

------

IMAGE
10871.jpg




DATABASE ID
10872

NAME
Lambert, Pierre
Doucin, Marguerite

------

IMAGE
10872.jpg




DATABASE ID
10873

NAME
La Montaigne, Charles Etienne
Racine, Catherine

------

IMAGE
10873.jpg




DATABASE ID
10874

NAME
Lanau, François
Héron [dit Parisien], Anne

------

IMAGE
10874.jpg




DATABASE ID
10875

NAME
Langlois, Nöel
Néronde, Isabelle

------

IMAGE
10875.jpg




DATABASE ID
10876

NAME
Landay, Maurice
Meany, Marie

------

IMAGE
10876.jpg




DATABASE ID
10877

NAME
Langevin, Jean
Guérin, Marie Rose

------

IMAGE
10877.jpg




DATABASE ID
10878

NAME
Langlois, François
Renard, Henriette

------

IMAGE
10878.jpg




DATABASE ID
10879

NAME
Langot, Nicolas
Coeffé, Marie Jeanne

------

IMAGE
10879.jpg




DATABASE ID
10880

NAME
Langlois, Noël

------

IMAGE
10880.jpg




DATABASE ID
10881

NAME
Lanière, Pierre
Valentin, Françoise

------

IMAGE
10881.jpg




DATABASE ID
10882

NAME
Lannelongue, Jean Baptiste
Richard, Anne, veuve de Jean Baptiste Daccarette

------

IMAGE
10882.jpg




DATABASE ID
10883

NAME
Lannelongue, Jean
Richard, Anne

------

IMAGE
10883.jpg




DATABASE ID
10884

NAME
Lannelongue, Pierre
L'écuyer dit Le Senecat, Magdelaine Marie

------

IMAGE
10884.jpg




DATABASE ID
10885

NAME
Larade, Jean
Pinet, Hélène Catherine

------

IMAGE
10885.jpg




DATABASE ID
10886

NAME
Laralde, Pierre
Bocage, Anne Marie, veuve de Sauveur Choumarin

------

IMAGE
10886.jpg




DATABASE ID
10887

NAME
La Roque, Jean
Le Jeunne, Perpetue

------

IMAGE
10887.jpg




DATABASE ID
10888

NAME
Larieux, Pierre
[Du...Par], Magdelaine

------

IMAGE
10888.jpg




DATABASE ID
10889

NAME
Lartigue, Joseph
Dyarse [Diharse], Jeanne

------

IMAGE
10889.jpg




DATABASE ID
10890

NAME
Lartigue, Joseph
de Cournoyer, Marguerite

------

IMAGE
10890.jpg




DATABASE ID
10891

NAME
Lartigue
Lartigue

------

IMAGE
10891.jpg




DATABASE ID
10892

NAME
Lartigne
Lartigue, Joseph

------

IMAGE
10892.jpg




DATABASE ID
10893

NAME
Lartigue, Joseph
Lartigue, Joseph

------

IMAGE
10893.jpg




DATABASE ID
10894

NAME
Lartigue, Joseph
Hertel de Cournoyer, Marguerite Bonaventure

------

IMAGE
10894.jpg




DATABASE ID
10895

NAME
Lartigue, Joseph François
Diarse, Jeanne

------

IMAGE
10895.jpg




DATABASE ID
10896

NAME
Lartigue, Guillaume
Corporon, Catherine

------

IMAGE
10896.jpg




DATABASE ID
10897

NAME
Lasserre, Pierre
Geray, Saursade Hiribarne

------

IMAGE
10897.jpg




DATABASE ID
10898

NAME
Lascorette, Jean Baptiste
Richard, Anne

------

IMAGE
10898.jpg




DATABASE ID
10899

NAME
Latapy dit La Fleur, Timothé
Corporon, Marie

------

IMAGE
10899.jpg




DATABASE ID
10900

NAME
Laborde, Jean

------

IMAGE
10900.jpg




DATABASE ID
10901

NAME
Henry de La Chapelle, Pierre
La Chapelle

------

IMAGE
10901.jpg




DATABASE ID
10902

NAME
La Chapelle
La Chapelle

------

IMAGE
10902.jpg




DATABASE ID
10903

NAME
Henry dit La Chapelle, Pierre
La Chapelle, Henry

------

IMAGE
10903.jpg




DATABASE ID
10904

NAME
Latapy, Timothé

------

IMAGE
10904.jpg




DATABASE ID
10905

NAME
La Tour DesJardins, Jean Charles
Grosset, Catherine Marie

------

IMAGE
10905.jpg




DATABASE ID
10906

NAME
Laurent, Jean François
Basannière, Marie Susanne

------

IMAGE
10906.jpg




DATABASE ID
10907

NAME
Laumonier, Jean
Cronier, Jeanne

------

IMAGE
10907.jpg




DATABASE ID
10908

NAME
Laumonier, Jean Baptiste
Laumonier, Jean Baptiste

------

IMAGE
10908.jpg




DATABASE ID
10909

NAME
Laurent, Pierre
Grandin, Marie Louise

------

IMAGE
10909.jpg




DATABASE ID
10910

NAME
Lorant, Pierre
Grandin, Marie

------

IMAGE
10910.jpg




DATABASE ID
10911

NAME
Laurent
Lauren dit St Laurens, Jean François

------

IMAGE
10911.jpg




DATABASE ID
10912

NAME
Lauren dit St Laurent

------

IMAGE
10912.jpg




DATABASE ID
10913

NAME
Laurent, Jean Pierre
Rose, Marie Marguerite

------

IMAGE
10913.jpg




DATABASE ID
10914

NAME
Lavalle, Jean
Liette, Marie

------

IMAGE
10914.jpg




DATABASE ID
10915

NAME
Lavigne, Pierre
Mace, Françoise

------

IMAGE
10915.jpg




DATABASE ID
10916

NAME
Le Balle, Jean Baptiste
Charlan, Marie Anne, veuve de Joannis Daguerre

------

IMAGE
10916.jpg




DATABASE ID
10917

NAME
Le Blanc, Nicholas
Amien, Jeanne Geneviève

------

IMAGE
10917.jpg




DATABASE ID
10918

NAME
Le Blanc, Pierre
Rau, Anne [Jeanne Annette]

------

IMAGE
10918.jpg




DATABASE ID
10919

NAME
Le Bezot, Jean
Paris, Marie Louise

------

IMAGE
10919.jpg




DATABASE ID
10920

NAME
LeBoguais Boussière, Jacques Cécicle
Potier, Françoise

------

IMAGE
10920.jpg




DATABASE ID
10921

NAME
Le Boguain, Jacques
Poetier, Françoise

------

IMAGE
10921.jpg




DATABASE ID
10922

NAME
Le Breton, François
Le Normand, Marie

------

IMAGE
10922.jpg




DATABASE ID
10923

NAME
Le Breton, François
Le Morvan, Marie

------

IMAGE
10923.jpg




DATABASE ID
10924

NAME
Le Breton, François Michel
Mellion, Pelagie

------

IMAGE
10924.jpg




DATABASE ID
10925

NAME
Le Breton, François

------

IMAGE
10925.jpg




DATABASE ID
10926

NAME
Le Breton, Laurent-François
Gosselin, Anne

------

IMAGE
10926.jpg




DATABASE ID
10927

NAME
Le Brun, René
Bérard, Magdelaine

------

IMAGE
10927.jpg




DATABASE ID
10928

NAME
Le Caudé, Yves
Talar, Marie, veuve Jacques Lottin

------

IMAGE
10928.jpg




DATABASE ID
10929

NAME
Le Clair, Simon
Thesson LaFloury, Françoise

------

IMAGE
10929.jpg




DATABASE ID
10930

NAME
Le Cler, Jean Baptiste
Morand, Catherine

------

IMAGE
10930.jpg




DATABASE ID
10931

NAME
LeCoutre de Bourville, François
Rousseau de Villejoin, Marie Anne

------

IMAGE
10931.jpg




DATABASE ID
10932

NAME
Le Coustre De Bourville

------

IMAGE
10932.jpg




DATABASE ID
10933

NAME
Le Craig, Guillaume
Langot, Marguerite

------

IMAGE
10933.jpg




DATABASE ID
10934

NAME
L'Écuyer, Thomas
L'Anglois, Françoise

------

IMAGE
10934.jpg




DATABASE ID
10935

NAME
L'Écuyer, Thomas, veuf de Françoise L'Anglois
Diayne, Jeanne, veuve de Jean Gai____

------

IMAGE
10935.jpg




DATABASE ID
10936

NAME
L'Écuyer dit Le Senecat, Louis
Samson, Marie Magdelaine

------

IMAGE
10936.jpg




DATABASE ID
10937

NAME
Lécuyer, Louis

------

IMAGE
10937.jpg




DATABASE ID
10938

NAME
Le Desdet, Michel Auguste
Thesson dit La Floury

------

IMAGE
10938.jpg




DATABASE ID
10939

NAME
Ledest, Pierre Philippe
Tooussain, Thérèse

------

IMAGE
10939.jpg




DATABASE ID
10940

NAME
Le Droit Louis
Gichard, Marie

------

IMAGE
10940.jpg




DATABASE ID
10941

NAME
LeFèvre, Pierre
Vinet, Marie

------

IMAGE
10941.jpg




DATABASE ID
10942

NAME
LeFèvre, Thomas
Cruchon dit LaTour

------

IMAGE
10942.jpg




DATABASE ID
10943

NAME
Le Fôrestier, René
Pinochet Duchesne, Marie Pelagie

------

IMAGE
10943.jpg




DATABASE ID
10944

NAME
Le Gaine, Jean
Trahant, Marguerite

------

IMAGE
10944.jpg




DATABASE ID
10945

NAME
Le Grand, François
Sendre, Isabelle

------

IMAGE
10945.jpg




DATABASE ID
10946

NAME
Le Gros, Pierre
Le Mordan, Servanne

------

IMAGE
10946.jpg




DATABASE ID
10947

NAME
Le Gros, René
Bénart, Magdelaine

------

IMAGE
10947.jpg




DATABASE ID
10948

NAME
LeGros, René
Bénard, Magdelaine

------

IMAGE
10948.jpg




DATABASE ID
10949

NAME
Le Jeune, Alexis
Briand, Magdeleine

------

IMAGE
10949.jpg




DATABASE ID
10950

NAME
Le Jeune, Eustache
Carré, Marie

------

IMAGE
10950.jpg




DATABASE ID
10951

NAME
Le Jeune, Jean Gilles
Benoit, Catherine

------

IMAGE
10951.jpg




DATABASE ID
10952

NAME
Le Jeune, Joseph
Le Roy, Martine

------

IMAGE
10952.jpg




DATABASE ID
10953

NAME
Le Jeune, Joseph
Pitre, Cecile

------

IMAGE
10953.jpg




DATABASE ID
10954

NAME
Le Large, Jean François
Samson, Marguerite Louise

------

IMAGE
10954.jpg




DATABASE ID
10955

NAME
Lelarge, Pierre
Beaujour, Catherine

------

IMAGE
10955.jpg




DATABASE ID
10956

NAME
Le Large, Pierre
Le Large

------

IMAGE
10956.jpg




DATABASE ID
10957

NAME
Le Large, [Côte Nord]
Le Large

------

IMAGE
10957.jpg




DATABASE ID
10958

NAME
Le Large, Pierre
Le Large, Pierre

------

IMAGE
10958.jpg




DATABASE ID
10959

NAME
Le Large Veuve

------

IMAGE
10959.jpg




DATABASE ID
10960

NAME
LeLiard dit Belleville, Louis
TeTonne, Geneviève

------

IMAGE
10960.jpg




DATABASE ID
10961

NAME
Le Lièvre, Quantin
Butel, Angélique Thérèse

------

IMAGE
10961.jpg




DATABASE ID
10962

NAME
Le Lièvre, François
Mon Meillant, Marie Geneviève, veuve de Joseph Aupinel

------

IMAGE
10962.jpg




DATABASE ID
10963

NAME
Le Métayer, Lucas,veuf de Catherine Pichot
Martin, Isabelle, veuve de Jacques Martin

------

IMAGE
10963.jpg




DATABASE ID
10964

NAME
Le Metayer, Thomas
Baucher, Geneviève Benjamin, veuve Thomas Paris

------

IMAGE
10964.jpg




DATABASE ID
10965

NAME
Le Métayer, Thomas,veuf de Geneviève Baucher
Boudet, Marie, veuve de Jacque Le Monier

------

IMAGE
10965.jpg




DATABASE ID
10966

NAME
LeMine, François
Arboust, Marie

------

IMAGE
10966.jpg




DATABASE ID
10967

NAME
LeMoine, Gilles
Clermont dit LaRose, Catherine

------

IMAGE
10967.jpg




DATABASE ID
10968

NAME
LeMoine, Jean Jacques
Pugniot, Marie

------

IMAGE
10968.jpg




DATABASE ID
10969

NAME
LeMoine, Jean Jacque, veuf de Marie Pugniot
Rau, Marie

------

IMAGE
10969.jpg




DATABASE ID
10970

NAME
LeMoine, Jean Jacque
Raux, Marie

------

IMAGE
10970.jpg




DATABASE ID
10971

NAME
LeMoine, Jean

------

IMAGE
10971.jpg




DATABASE ID
10972

NAME
LeMordant, Joseph
Lambert, Marie

------

IMAGE
10972.jpg




DATABASE ID
10973

NAME
LeNeuf de LaVallière, Louis
Rousseau de Souvigny, Marie Charlotte

------

IMAGE
10973.jpg




DATABASE ID
10974

NAME
LeNeuf de La Vallière,Louis
Rousseau de Souvigny, Marie-Charlotte

------

IMAGE
10974.jpg




DATABASE ID
10975

NAME
LeNeuf de Lavallière, Michel
Bertrand, Renée

------

IMAGE
10975.jpg




DATABASE ID
10976

NAME
LeNeuf de LaVallière de Beaubassin, Philippe
Daccarette, Marie Charlotte

------

IMAGE
10976.jpg




DATABASE ID
10977

NAME
LeNeuf de LaVallière de Beaubassin, Philippe
Daccarette, Marie Charlotte

------

IMAGE
10977.jpg




DATABASE ID
10978

NAME
LeNoul [LeMoule dit Nange], Pierre
Baudry, Geneviève

------

IMAGE
10978.jpg




DATABASE ID
10979

NAME
Le Poupet de La Boularderie, Antoine
Bannier de St-Hibert Élénore

------

IMAGE
10979.jpg




DATABASE ID
10980

NAME
Le Poupet de La Boularderie, Antoine
de Barny St.Ibirt, Leonore

------

IMAGE
10980.jpg




DATABASE ID
10981

NAME
Le Prieur, Jean
Grossin, Marie

------

IMAGE
10981.jpg




DATABASE ID
10982

NAME
LeRoy, Jean
Caresse, Marie, veuve de Jean Petit

------

IMAGE
10982.jpg




DATABASE ID
10983

NAME
LeRoy, Louis
Chemière, Magdelaine

------

IMAGE
10983.jpg




DATABASE ID
10984

NAME
Le Roy, Nöel
Martin, Marie Anne

------

IMAGE
10984.jpg




DATABASE ID
10985

NAME
Le Roy, Pierre
Le Jeune, Marie Josephe

------

IMAGE
10985.jpg




DATABASE ID
10986

NAME
Le Roy, Pierre
Martin, Marguerite

------

IMAGE
10986.jpg




DATABASE ID
10987

NAME
Le Roy Desmarest, Claude Joseph
Basanière de, Marie Suzanne, veuve de Joseph Laurent

------

IMAGE
10987.jpg




DATABASE ID
10988

NAME
Le Roy Desmaret, Claude Joseph

------

IMAGE
10988.jpg




DATABASE ID
10989

NAME
Le Secer dit LaRenommée,Martin
Tonsu, Marguerite, veuve de Jacques Germain

------

IMAGE
10989.jpg




DATABASE ID
10990

NAME
L'Estiboudois, Guillaume Nicholas
Le Monier, Jeanne Marie

------

IMAGE
10990.jpg




DATABASE ID
10991

NAME
Letiec, François
Rondel, Sébastienne

------

IMAGE
10991.jpg




DATABASE ID
10992

NAME
Lessenne dit Francoeur, François
Coeffé, Marguerite

------

IMAGE
10992.jpg




DATABASE ID
10993

NAME
Lessenne dit Francoeur, François
Coefffé, Marguerite

------

IMAGE
10993.jpg




DATABASE ID
10994

NAME
Lesson dit Francoeur, François
Lezen dit Francoeur, François

------

IMAGE
10994.jpg




DATABASE ID
10995

NAME
Lessenne dit Francoeur, Jean
Morin dit Langevin, Catherine

------

IMAGE
10995.jpg




DATABASE ID
10996

NAME
Le Troue, Joachim Pierre
Couyau, Anne

------

IMAGE
10996.jpg




DATABASE ID
10997

NAME
L'Hermitte, Léonard
Bertrand, Marie Renée

------

IMAGE
10997.jpg




DATABASE ID
10998

NAME
L'Hermitte

------

IMAGE
10998.jpg




DATABASE ID
10999

NAME
Le Vasseur, Louis
Laurent, Marie Anne Pétronelle

------

IMAGE
10999.jpg




DATABASE ID
11000

NAME
L'Hermitte, Léonard
Bertrand, Marguerite

------

IMAGE
11000.jpg




DATABASE ID
11001

NAME
L'Hotellier, Joseph
Le Tourneux, Marie

------

IMAGE
11001.jpg




DATABASE ID
11002

NAME
L'Hotellier
L'Hotellier, Joseph

------

IMAGE
11002.jpg




DATABASE ID
11003

NAME
L'Htellier, Joseph
L'Hôtellier [la veuve]

------

IMAGE
11003.jpg




DATABASE ID
11004

NAME
L'Hôtellier, Pierre
Blondel, Marie françoise, veuve de Jean Baptiste VillDieu

------

IMAGE
11004.jpg




DATABASE ID
11005

NAME
Liam, Jean
Doure, Marguerite

------

IMAGE
11005.jpg




DATABASE ID
11006

NAME
Liard, Louis
Testot, Geneviève, veuve de Aime Mien

------

IMAGE
11006.jpg




DATABASE ID
11007

NAME
Limouzin, Jean
La Friselière, Marguerite

------

IMAGE
11007.jpg




DATABASE ID
11008

NAME
Lis, Isaac
Lieau, Anne

------

IMAGE
11008.jpg




DATABASE ID
11009

NAME
Lolas, Nicolas
Girot, Marie Jean

------

IMAGE
11009.jpg




DATABASE ID
11010

NAME
Lopinot de La Fresillière, Louis
Seigneur [dit LaRivière], Marie Josephe

------

IMAGE
11010.jpg




DATABASE ID
11011

NAME
Loppinot de la Fredillier, Louis
Seigeur, Josephe

------

IMAGE
11011.jpg




DATABASE ID
11012

NAME
Loustalet, Jean
Le Moine, Jeanne Gillette

------

IMAGE
11012.jpg




DATABASE ID
11013

NAME
Lucadou, Jacques
Lacquand Lucadou, Renée

------

IMAGE
11013.jpg




DATABASE ID
11014

NAME
Lucas dit Saint Onge, Jean
Ménard, Marie Magdelène

------

IMAGE
11014.jpg




DATABASE ID
11015

NAME
Lucas dit St.Onge, Jean
Ménard, Marie

------

IMAGE
11015.jpg




DATABASE ID
11016

NAME
MacDaniel, Roger
Kersley, Marie

------

IMAGE
11016.jpg




DATABASE ID
11017

NAME
Macé, Étienne
L'Hôtellier, Magdeleine

------

IMAGE
11017.jpg




DATABASE ID
11018

NAME
Macé, Robert
Le Tourneur Alenard, Marie

------

IMAGE
11018.jpg




DATABASE ID
11019

NAME
Magdalen, Roger
Seilé, Marie

------

IMAGE
11019.jpg




DATABASE ID
11020

NAME
Magne, Pierre
Hamon, Françoise, veuve de Sebastien David

------

IMAGE
11020.jpg




DATABASE ID
11021

NAME
Mahau, Jean François Joseph
Passepartout Maliette, Marie Angélique, veuve de Drouillet

------

IMAGE
11021.jpg




DATABASE ID
11022

NAME
Mahieu, René
Chauvin, Louise

------

IMAGE
11022.jpg




DATABASE ID
11023

NAME
Maillet, Charles
Le Neuf De La Vallière, Judith

------

IMAGE
11023.jpg




DATABASE ID
11024

NAME
Mairouf, Benoist
Senadrin Folvin, Marie Magdelaine

------

IMAGE
11024.jpg




DATABASE ID
11025

NAME
Maitre, Antoine
Gérome, Jeanne

------

IMAGE
11025.jpg




DATABASE ID
11026

NAME
Malfait, Jean
Léonard, Catherine

------

IMAGE
11026.jpg




DATABASE ID
11027

NAME
Malfait, Jean
Léonard, Catherine

------

IMAGE
11027.jpg




DATABASE ID
11028

NAME
Mallet, François
de La Vue, Marie Anne

------

IMAGE
11028.jpg




DATABASE ID
11029

NAME
Mallet, Françoise
de La Rue, Marie Anne

------

IMAGE
11029.jpg




DATABASE ID
11030

NAME
Mancel, Robert
GouJoy, Jeanne

------

IMAGE
11030.jpg




DATABASE ID
11031

NAME
Manet, Augustin
VilleDieu, Marie

------

IMAGE
11031.jpg




DATABASE ID
11032

NAME
Manet, Augustin

------

IMAGE
11032.jpg




DATABASE ID
11033

NAME
Mansel, Jean

------

IMAGE
11033.jpg




DATABASE ID
11034

NAME
Manseau, Jean
Boudraux, Marie Joseph

------

IMAGE
11034.jpg




DATABASE ID
11035

NAME
Mansel, Pierre
La Musique [Dumeny], Charlotte

------

IMAGE
11035.jpg




DATABASE ID
11036

NAME
Mansel, Pierre
Mansel, Pierre

------

IMAGE
11036.jpg




DATABASE ID
11037

NAME
Mansel, Robert
Goupil, Jeanne

------

IMAGE
11037.jpg




DATABASE ID
11038

NAME
Marchand, Joseph
Le Blanc, Jeanne

------

IMAGE
11038.jpg




DATABASE ID
11039

NAME
Marchand, Julien, veuf de Françoise Clément
Paris, Marie Louise, veuve de François Besau

------

IMAGE
11039.jpg




DATABASE ID
11040

NAME
Marchand, Julien

------

IMAGE
11040.jpg




DATABASE ID
11041

NAME
Marguerie, Jean
Chenot, Isabelle

------

IMAGE
11041.jpg




DATABASE ID
11042

NAME
Marguerite dit VadeBois [Euier], Jean
Chesnau, Marie Elizabeth

------

IMAGE
11042.jpg




DATABASE ID
11043

NAME
Marguerie, Jean
Seaux, Marguerite

------

IMAGE
11043.jpg




DATABASE ID
11044

NAME
Margueree, Jean
Sceau, Marguerite

------

IMAGE
11044.jpg




DATABASE ID
11045

NAME
Marguerite dit Vat de Bon Coeur, Jean
Toussaint dit Dubois, Jeanne

------

IMAGE
11045.jpg




DATABASE ID
11046

NAME
Marie, Simon
Guibert dit LaRose, Françoise Marguerite

------

IMAGE
11046.jpg




DATABASE ID
11047

NAME
Marie dit St Germain, Jean
Petit, Marie Thérèse

------

IMAGE
11047.jpg




DATABASE ID
11048

NAME
Mary dit St Germain, Jean
Marie dit St Germain, Jean

------

IMAGE
11048.jpg




DATABASE ID
11049

NAME
Marquedet, Jean Baptiste
Paris, Marie Geneviève

------

IMAGE
11049.jpg




DATABASE ID
11050

NAME
Marquedet, Jean Baptiste
Benoit, Magdelaine

------

IMAGE
11050.jpg




DATABASE ID
11051

NAME
Marsan, Jean
Gaudin, Sébastienne

------

IMAGE
11051.jpg




DATABASE ID
11052

NAME
Martin[ez], François
Gonsales, Rose

------

IMAGE
11052.jpg




DATABASE ID
11053

NAME
Martin, Jacques
Martin, Isabelle

------

IMAGE
11053.jpg




DATABASE ID
11054

NAME
Martin, Jean
Babin, Magdeleine

------

IMAGE
11054.jpg




DATABASE ID
11055

NAME
Martin, Louis
Le François, Anne

------

IMAGE
11055.jpg




DATABASE ID
11056

NAME
Martin, Pierre
Clémenceau, Marie Joseph

------

IMAGE
11056.jpg




DATABASE ID
11057

NAME
Martin, Pierre
Bernard, Anne

------

IMAGE
11057.jpg




DATABASE ID
11058

NAME
Martissans, Pierre
Chavigny de la Chevrotière, Jeanne Angélique

------

IMAGE
11058.jpg




DATABASE ID
11059

NAME
Martissans, Pierre

------

IMAGE
11059.jpg




DATABASE ID
11060

NAME
Martissan, Pierre
Chavigny de la Chevrotière, Angélique

------

IMAGE
11060.jpg




DATABASE ID
11061

NAME
Masse, Florent
Mons dit Montagne

------

IMAGE
11061.jpg




DATABASE ID
11062

NAME
Marteaux, François
Trahan, Françoise

------

IMAGE
11062.jpg




DATABASE ID
11063

NAME
Masson, François
Le Caudé, Marie

------

IMAGE
11063.jpg




DATABASE ID
11064

NAME
Masson, François
LeCaudet, Marie

------

IMAGE
11064.jpg




DATABASE ID
11065

NAME
Masson, François
Harote, Marie

------

IMAGE
11065.jpg




DATABASE ID
11066

NAME
Masson, François
Tireau, Anne

------

IMAGE
11066.jpg




DATABASE ID
11067

NAME
Maugard, Jacques
Hautant, Marie

------

IMAGE
11067.jpg




DATABASE ID
11068

NAME
Menard, Jacque
Pinet, Marguerite

------

IMAGE
11068.jpg




DATABASE ID
11069

NAME
Menard, Jean
Grimaud, Marie Madeleine

------

IMAGE
11069.jpg




DATABASE ID
11070

NAME
Merard dit LeBrun, François
Vassongne, Marguerite, veuve du Bertrand DuHalde

------

IMAGE
11070.jpg




DATABASE ID
11071

NAME
Mercure,de, Joseph
Gaultier, Anne[Marie]

------

IMAGE
11071.jpg




DATABASE ID
11072

NAME
Merle, Pierre
Nado dit LaChapelle, Cecile Marguerite

------

IMAGE
11072.jpg




DATABASE ID
11073

NAME
de Mercure, Joseph
Gaitoer. Anne

------

IMAGE
11073.jpg




DATABASE ID
11074

NAME
Merlin, Jean Baptiste
Friquant, Marie Jeanne

------

IMAGE
11074.jpg




DATABASE ID
11075

NAME
Mervain, Guillaume
Bourgneuf, Anne

------

IMAGE
11075.jpg




DATABASE ID
11076

NAME
Mesnel, Antoine Joseph
Thesson dit LaFloury, Marie Jeanne, veuve de Denis Ovosteguy

------

IMAGE
11076.jpg




DATABASE ID
11077

NAME
Metzker dit Boucher, Bernard
Friquent, Jeanne

------

IMAGE
11077.jpg




DATABASE ID
11078

NAME
Meyracq, Dominge de, Laurent
Lartigue, Jeanne

------

IMAGE
11078.jpg




DATABASE ID
11079

NAME
Michau, Michel
[ ], Marie

------

IMAGE
11079.jpg




DATABASE ID
11080

NAME
Michel, Jean
Moisan, Geneviève

------

IMAGE
11080.jpg




DATABASE ID
11081

NAME
Mien, Aimé,veuf de Marie David
Testo, Geneviève

------

IMAGE
11081.jpg




DATABASE ID
11082

NAME
Mien, Ainsé
David, Marie

------

IMAGE
11082.jpg




DATABASE ID
11083

NAME
Migon dit Saint Aman, Laurent
Menard, Marie, veuve de Jean Lucas

------

IMAGE
11083.jpg




DATABASE ID
11084

NAME
Milet, Louis
Caumo, Marie

------

IMAGE
11084.jpg




DATABASE ID
11085

NAME
Milion, François
Chapeau, Jeanne

------

IMAGE
11085.jpg




DATABASE ID
11086

NAME
Million, Louis
Jean, Marie Anne

------

IMAGE
11086.jpg




DATABASE ID
11087

NAME
Milly de LaCroix, François
Baudry, Catherine

------

IMAGE
11087.jpg




DATABASE ID
11088

NAME
Milly, François
Milly, François

------

IMAGE
11088.jpg




DATABASE ID
11089

NAME
Milly, François

------

IMAGE
11089.jpg




DATABASE ID
11090

NAME
Milly, François

------

IMAGE
11090.jpg




DATABASE ID
11091

NAME
Milly de La Croix, Jean
Daccarrette, Marie

------

IMAGE
11091.jpg




DATABASE ID
11092

NAME
Milly de La Croix, Jean
Daccarette, Marie

------

IMAGE
11092.jpg




DATABASE ID
11093

NAME
Milly, Jean
Milly, Jean

------

IMAGE
11093.jpg




DATABASE ID
11094

NAME
Milly, Gaspard, veuf de Marie de Galbarrer
Baudry, Geneviève

------

IMAGE
11094.jpg




DATABASE ID
11095

NAME
Milly, Gaspard
Baudry, Geneviève

------

IMAGE
11095.jpg




DATABASE ID
11096

NAME
Milly de La Croix, François Marie
Vincent Desmarest, Marguerite, veuve de Ambroise Zemard

------

IMAGE
11096.jpg




DATABASE ID
11097

NAME
Milly de La Croix, Michel
Grandin, Angélique

------

IMAGE
11097.jpg




DATABASE ID
11098

NAME
Milly de La Croix, Thomas
Legal, Jeanne

------

IMAGE
11098.jpg




DATABASE ID
11099

NAME
Milly de La Croix, Thomas
Dupuis, Louise

------

IMAGE
11099.jpg




DATABASE ID
11100

NAME
Minaud, Jean
Caumailleau, Magdelaine

------

IMAGE
11100.jpg




DATABASE ID
11101

NAME
Minot,
Minaud, Jean
Caumaillau, Magdelaine

------

IMAGE
11101.jpg




DATABASE ID
11102

NAME
Minaud, Jean, veuf de Magdelaine Caumaillou
Rousseau, Jeanne, veuve de Jean Metayer

------

IMAGE
11102.jpg




DATABASE ID
11103

NAME
Moinier dit Surgere, André
Bonneau, Jeanne

------

IMAGE
11103.jpg




DATABASE ID
11104

NAME
Monier dit Surgere André
Bonnau, Jeanne

------

IMAGE
11104.jpg




DATABASE ID
11105

NAME
Moisel,François
Le Comte, Jeanne

------

IMAGE
11105.jpg




DATABASE ID
11106

NAME
MonBoussaint, François
Challopin, Marie Catherine

------

IMAGE
11106.jpg




DATABASE ID
11107

NAME
Monet, Antoine
Cassaignolles, Antoinette

------

IMAGE
11107.jpg




DATABASE ID
11108

NAME
Monet, Nicholas Martin
Corporon, Anne

------

IMAGE
11108.jpg




DATABASE ID
11109

NAME
MonPessa, Jean
Martin, Marie Catherine

------

IMAGE
11109.jpg




DATABASE ID
11110

NAME
Mons dit LaMontagne, François Pierre
Villalon, Cécile

------

IMAGE
11110.jpg




DATABASE ID
11111

NAME
Mons dit LaMontaigne, Pierre
Oustin, marie

------

IMAGE
11111.jpg




DATABASE ID
11112

NAME
Mons dit La Montagne, Pierre
Mons dit La Montagne, Pierre

------

IMAGE
11112.jpg




DATABASE ID
11113

NAME
Mons dit La Montagne, Pierre
Mons dit La Montagne, Pierre

------

IMAGE
11113.jpg




DATABASE ID
11114

NAME
Montalambert de Cers, Pierre
Chassinde Thierry, Marie Charlotte

------

IMAGE
11114.jpg




DATABASE ID
11115

NAME
Morel, Jean Baptiste
Paris, Marie Reine

------

IMAGE
11115.jpg




DATABASE ID
11116

NAME
Morin dit Langevin, Claude
Lamoureux dit Rochefort, Magdelaine

------

IMAGE
11116.jpg




DATABASE ID
11117

NAME
Morin dit Langevin, Claude
Lamoureux dit Rochefort, Madelaine

------

IMAGE
11117.jpg




DATABASE ID
11118

NAME
Morin dit Langevin, Claude
Lamoureux dit Rochefort, Madelaine

------

IMAGE
11118.jpg




DATABASE ID
11119

NAME
Morin dit Langevin, Claude [Père]
Lamoureux, Magdalaine

------

IMAGE
11119.jpg




DATABASE ID
11120

NAME
Morin dit Langevin, Antoine
LaBorde, Marguerite Catherine

------

IMAGE
11120.jpg




DATABASE ID
11121

NAME
Morin dit Langevin, Antoine [cadet]
LaBorde, Catherine

------

IMAGE
11121.jpg




DATABASE ID
11122

NAME
Morin, Jean
Poullain, Perinne

------

IMAGE
11122.jpg




DATABASE ID
11123

NAME
Morin, Jean

------

IMAGE
11123.jpg




DATABASE ID
11124

NAME
Morin, Jean
Poullin, Perrine

------

IMAGE
11124.jpg




DATABASE ID
11125

NAME
Morin, Pierre Jacque
Lestrange, Josephe, veuve de Nicolas Toulon

------

IMAGE
11125.jpg




DATABASE ID
11126

NAME
Maurin, Jacque
Létrange, Josephe

------

IMAGE
11126.jpg




DATABASE ID
11127

NAME
Morin dit Langevin, Jean Baptiste
Bochet de St Martin, Marie Charlotte

------

IMAGE
11127.jpg




DATABASE ID
11128

NAME
Morin dit Langevin, Jean Baptiste
Bochet de St.Martin, Marie Charlotte

------

IMAGE
11128.jpg




DATABASE ID
11129

NAME
Morin dit Langevin, Claude
Morin

------

IMAGE
11129.jpg




DATABASE ID
11130

NAME
Langevin
Morin

------

IMAGE
11130.jpg




DATABASE ID
11131

NAME
Motin, François Gille
Rondel, Françoise

------

IMAGE
11131.jpg




DATABASE ID
11132

NAME
Mouchard, François
Le Gendre, Marguerite Félicité

------

IMAGE
11132.jpg




DATABASE ID
11133

NAME
Muiller, Pierre
Baudry, Jeanne,veuve de [ ]

------

IMAGE
11133.jpg




DATABASE ID
11134

NAME
Mullot, Jacques
Gelos, Catherine

------

IMAGE
11134.jpg




DATABASE ID
11135

NAME
Mulot, Claude
Minet, Julienne

------

IMAGE
11135.jpg




DATABASE ID
11136

NAME
[La Vallé Mullo]

------

IMAGE
11136.jpg




DATABASE ID
11137

NAME
Mullot, Claude
Minet, Julienne

------

IMAGE
11137.jpg




DATABASE ID
11138

NAME
Mulot, Robert
Petitpas, Marie[Dominique]

------

IMAGE
11138.jpg




DATABASE ID
11139

NAME
Muret dit La Roque, Pierre
Bondon, Jeanne

------

IMAGE
11139.jpg




DATABASE ID
11140

NAME
Nadau dit La Chapelle, Pierre Henry,veuf de Angélique Bauche
Giboire Duverger de La Motte, Marguerite

------

IMAGE
11140.jpg




DATABASE ID
11141

NAME
Madau dit LaChapelle, Pierre Henry
Boucher, Angélique

------

IMAGE
11141.jpg




DATABASE ID
11142

NAME
Nau, Louis
Goulard, Marie Anne

------

IMAGE
11142.jpg




DATABASE ID
11143

NAME
Neel, Michel
Droit, Marie Jeanne

------

IMAGE
11143.jpg




DATABASE ID
11144

NAME
Neveux, Pierre
Vinette, Catherine

------

IMAGE
11144.jpg




DATABASE ID
11145

NAME
Nicolas, Guillaume
? xx

------

IMAGE
11145.jpg




DATABASE ID
11146

NAME
Nicolas de Villeneuve, René
Le Manquet, Magdelaine

------

IMAGE
11146.jpg




DATABASE ID
11147

NAME
Noel, Jean
Poirier, Marie Anne

------

IMAGE
11147.jpg




DATABASE ID
11148

NAME
Ollivier, Jean
Deschamps, Marie

------

IMAGE
11148.jpg




DATABASE ID
11149

NAME
Ollivier dit La Valeur, Jacques
Brossart, Marie Anne

------

IMAGE
11149.jpg




DATABASE ID
11150

NAME
Ollivier, Nicolas Martin
DeTouches Morel, Marie Anne Catherine

------

IMAGE
11150.jpg




DATABASE ID
11151

NAME
Omnes, Laurent
Lesguignard, Julienne, veuve de Julien Buguin

------

IMAGE
11151.jpg




DATABASE ID
11152

NAME
Oncty, Jean
Ro, Françoise

------

IMAGE
11152.jpg




DATABASE ID
11153

NAME
Opinel dit Contois, Joseph Guilaume
MonMelian dit Saint Germain, Geneviève

------

IMAGE
11153.jpg




DATABASE ID
11154

NAME
Opinel dit Contois, Guill. Joseph
Opinel dit Contois, Joseph

------

IMAGE
11154.jpg




DATABASE ID
11155

NAME
Contois, veuve

------

IMAGE
11155.jpg




DATABASE ID
11156

NAME
Orieux, Pierre
L'Hotellier, Madeleine, veuve de Etienne Maie

------

IMAGE
11156.jpg




DATABASE ID
11157

NAME
Orieux, Pierre
Ménard, Magdelaine
(?) Lottellier, Marie Magdelaine

------

IMAGE
11157.jpg




DATABASE ID
11158

NAME
Öuel, François
Hil(l), Georginne

------

IMAGE
11158.jpg




DATABASE ID
11159

NAME
Ouinet, Guillaume
Robichot, Louise

------

IMAGE
11159.jpg




DATABASE ID
11160

NAME
Paillard, François
Le Hardy, Julienne, veuve de Plessis

------

IMAGE
11160.jpg




DATABASE ID
11161

NAME
Paire, Henry
Duval, Jeanne

------

IMAGE
11161.jpg




DATABASE ID
11162

NAME
Paris, Antoine
Bauché, Marie-René

------

IMAGE
11162.jpg




DATABASE ID
11163

NAME
Paris, Antoine, veuf de René Bauché
Ferret, Magdelaine

------

IMAGE
11163.jpg




DATABASE ID
11164

NAME
Paris, Antoine
Paris, Antoine

------

IMAGE
11164.jpg




DATABASE ID
11165

NAME
Paris, Antoine
Paris, Antoine

------

IMAGE
11165.jpg




DATABASE ID
11166

NAME
Paris Antoine
Paris Antoine

------

IMAGE
11166.jpg




DATABASE ID
11167

NAME
Paris, Bernard
Le Blanc, Marie Anne

------

IMAGE
11167.jpg




DATABASE ID
11168

NAME
Paris, Thomas Pierre
Baucher, Geneviève Benjamin

------

IMAGE
11168.jpg




DATABASE ID
11169

NAME
Paris, Thomas
Paris, Thomas

------

IMAGE
11169.jpg




DATABASE ID
11170

NAME
Paris, Thomas

------

IMAGE
11170.jpg




DATABASE ID
11171

NAME
Pascaud, Jean
[Hertel de] Cournoyer, Elisabeth

------

IMAGE
11171.jpg




DATABASE ID
11172

NAME
Passard, Bernard
Tuber, Marie

------

IMAGE
11172.jpg




DATABASE ID
11173

NAME
Paulin, Mathurin Philippe
La Brie, Jeanne

------

IMAGE
11173.jpg




DATABASE ID
11174

NAME
Paulin, Philippe
Paulin, Matheurin

------

IMAGE
11174.jpg




DATABASE ID
11175

NAME
Pelchat, Julien
Renaud, Marie

------

IMAGE
11175.jpg




DATABASE ID
11176

NAME
Pelletier, Pierre
David de La Fontaine, Marie Catherine

------

IMAGE
11176.jpg




DATABASE ID
11177

NAME
Pépain, Gilles
Hauteville, Marie Anne

------

IMAGE
11177.jpg




DATABASE ID
11178

NAME
Pépin, Gilles, veuf de Marie Anne Hauteville
Salemon, Jeanne Philippe

------

IMAGE
11178.jpg




DATABASE ID
11179

NAME
Pépin, Gille
Romain, Jeanne

------

IMAGE
11179.jpg




DATABASE ID
11180

NAME
Pautel, Laurent
Renault, Françoise

------

IMAGE
11180.jpg




DATABASE ID
11181

NAME
Pelissier du Gres, Donnadieu,de, Louis Joseph
Vallée, Loouise Marguerite

------

IMAGE
11181.jpg




DATABASE ID
11182

NAME
Peré, Antoine
Ponce, Marie Anne

------

IMAGE
11182.jpg




DATABASE ID
11183

NAME
Perret, Antoine
Perret, Antoine

------

IMAGE
11183.jpg




DATABASE ID
11184

NAME
Peré, Antoine
Peré, Antoine

------

IMAGE
11184.jpg




DATABASE ID
11185

NAME
Peré, veuve [Ponce, Marie Anne]

------

IMAGE
11185.jpg




DATABASE ID
11186

NAME
Peré, René
Audouin, Marie

------

IMAGE
11186.jpg




DATABASE ID
11187

NAME
Perigore dit La Terreur, Pierre
Desgli, Elizabeth, veuve de Dominique Detchevery

------

IMAGE
11187.jpg




DATABASE ID
11188

NAME
Perigord, Pierre

------

IMAGE
11188.jpg




DATABASE ID
11189

NAME
Perigort dit La Terreur, Pierre
[DesGay, Isabelle]

------

IMAGE
11189.jpg




DATABASE ID
11190

NAME
Perin, Jacques
Dupont, Marie

------

IMAGE
11190.jpg




DATABASE ID
11191

NAME
Perin, Jacques
Dupont, Marie

------

IMAGE
11191.jpg




DATABASE ID
11192

NAME
Perré, Pierre
Le Monier, Marie Jeanne

------

IMAGE
11192.jpg




DATABASE ID
11193

NAME
[Dupré dit] Perrin, Claude
Godeau, Marie Joseph

------

IMAGE
11193.jpg




DATABASE ID
11194

NAME
Dupré dit Perin, Claude
Perin, Claude

------

IMAGE
11194.jpg




DATABASE ID
11195

NAME
Perrin, Claude
Gadeaux, Marie Josephe

------

IMAGE
11195.jpg




DATABASE ID
11196

NAME
Petit, Jean
Ro [Rau], Françoise

------

IMAGE
11196.jpg




DATABASE ID
11197

NAME
Petit, George
Pinette, Marguerite

------

IMAGE
11197.jpg




DATABASE ID
11198

NAME
Petit dit Le Vent, Jean
Caresse, Marie

------

IMAGE
11198.jpg




DATABASE ID
11199

NAME
Putsch, Augustin
Roy, Marguerite

------

IMAGE
11199.jpg




DATABASE ID
11200

NAME
Peyrol, Bernard
Rei, Anne Rose

------

IMAGE
11200.jpg




DATABASE ID
11201

NAME
Pfaffensler, Blaise
Schweitzerine, Catherine

------

IMAGE
11201.jpg




DATABASE ID
11202

NAME
Phillippo dit Lamouline, Gabriel
Herpin dit La Ramée, Elisabeth

------

IMAGE
11202.jpg




DATABASE ID
11203

NAME
Pibault, André
Vinet, Marie Madeleine, veuve de Martin De Chevery dit Achiavo

------

IMAGE
11203.jpg




DATABASE ID
11204

NAME
Picard dit Beaulieu, Pierre Nicolas
Toussaint dit Dubois, Anne

------

IMAGE
11204.jpg




DATABASE ID
11205

NAME
Pichart, Claude
Adam, Marguerite

------

IMAGE
11205.jpg




DATABASE ID
11206

NAME
Pichot, Félix
Le Breton, Louise

------

IMAGE
11206.jpg




DATABASE ID
11207

NAME
Pichot, François
Cure, Marie

------

IMAGE
11207.jpg




DATABASE ID
11208

NAME
Pichot, Pierre
Frouin, Jeanne
Franine

------

IMAGE
11208.jpg




DATABASE ID
11209

NAME
Pichot, Pierre

------

IMAGE
11209.jpg




DATABASE ID
11210

NAME
Pichot, Pierre
Fouin, Jeanne

------

IMAGE
11210.jpg




DATABASE ID
11211

NAME
Pichot dit La Forme, Pierre
Rau, Jeanne

------

IMAGE
11211.jpg




DATABASE ID
11212

NAME
Pigeot, Nicolas
Baron, Catherine

------

IMAGE
11212.jpg




DATABASE ID
11213

NAME
Pigeot, Nicolas

------

IMAGE
11213.jpg




DATABASE ID
11214

NAME
Pillet, Jacques
Pepin, Marguerite

------

IMAGE
11214.jpg




DATABASE ID
11215

NAME
Pinet, Antoine Charles
Bellemère, Marguerite

------

IMAGE
11215.jpg




DATABASE ID
11216

NAME
Pinet, Antoine
Pinet, Antoine

------

IMAGE
11216.jpg




DATABASE ID
11217

NAME
Pinet, Charles

------

IMAGE
11217.jpg




DATABASE ID
11218

NAME
Pinault, Jean
Trahan, Marie, veuve de Pierre Boutin

------

IMAGE
11218.jpg




DATABASE ID
11219

NAME
Pinault dit La Jeunesse, Philibert
Martin, Elisabeth

------

IMAGE
11219.jpg




DATABASE ID
11220

NAME
Pinault dit La Jeunesse, Philibert, veuf de Elisabeth Martin
Grenard dit Belaire, Marie Jeanne

------

IMAGE
11220.jpg




DATABASE ID
11221

NAME
La Jeunesse, Jean

------

IMAGE
11221.jpg




DATABASE ID
11222

NAME
Pinot, Philibert
Pinau, Philibert

------

IMAGE
11222.jpg




DATABASE ID
11223

NAME
Pinaud dit La Jeunine, Philibert
Grenard, Marie Jeanne

------

IMAGE
11223.jpg




DATABASE ID
11224

NAME
Pinet, Charles
Tetard, Marie

------

IMAGE
11224.jpg




DATABASE ID
11225

NAME
Pinet, Charles
Marchand, Marie

------

IMAGE
11225.jpg




DATABASE ID
11226

NAME
Pinet, Philipe
Michel, Elisabeth

------

IMAGE
11226.jpg




DATABASE ID
11227

NAME
Pinochet Duchesne, Nicolas
Million, Magdeleine

------

IMAGE
11227.jpg




DATABASE ID
11228

NAME
Pitard, Jean
Corporon, Magdelaine

------

IMAGE
11228.jpg




DATABASE ID
11229

NAME
Pitoy, Bertrand
LaMusique, Françoise

------

IMAGE
11229.jpg




DATABASE ID
11230

NAME
Planton, Guillaume
Duchesne, Marie Anne

------

IMAGE
11230.jpg




DATABASE ID
11231

NAME
Plasanet dit L'épine, Tibeau
Bauché, Jeanne, veuve de Préville

------

IMAGE
11231.jpg




DATABASE ID
11232

NAME
Pinet, Jean
Boutin, Rufine

------

IMAGE
11232.jpg




DATABASE ID
11233

NAME
Plesis, Alexis
Le Hardy, Julienne Charlotte

------

IMAGE
11233.jpg




DATABASE ID
11234

NAME
Ploch, Vincent
Coeffe, Marie Jeanne

------

IMAGE
11234.jpg




DATABASE ID
11235

NAME
Plocq, Vincent

------

IMAGE
11235.jpg




DATABASE ID
11236

NAME
Poinsu, François,veuf de Angélique Seaux
Le Manquet, Bernardine, veuve de Jean Jacques Pringault

------

IMAGE
11236.jpg




DATABASE ID
11237

NAME
Poinsu, François
Seaux, Angélique

------

IMAGE
11237.jpg




DATABASE ID
11238

NAME
Poinsu, François
Le Manquet, Bernardine

------

IMAGE
11238.jpg




DATABASE ID
11239

NAME
Poiré, Antoine
Louis, Maris

------

IMAGE
11239.jpg




DATABASE ID
11240

NAME
Poirrier dit La Meme, Martin
Dauphin, Angélique

------

IMAGE
11240.jpg




DATABASE ID
11241

NAME
Pondevie, Jean Louis
Dusaux, Catherine

------

IMAGE
11241.jpg




DATABASE ID
11242

NAME
PontDevy
PonDevy, Jean Louis

------

IMAGE
11242.jpg




DATABASE ID
11243

NAME
PontDevy, Jean

------

IMAGE
11243.jpg




DATABASE ID
11244

NAME
Pons, Claude
DE Lean, Marie Françoise

------

IMAGE
11244.jpg




DATABASE ID
11245

NAME
Porffet, Louis
Blain, Jeanne

------

IMAGE
11245.jpg




DATABASE ID
11246

NAME
Porre, Thomas
Vincent Desmarest, Marie

------

IMAGE
11246.jpg




DATABASE ID
11247

NAME
Porre de Niganiche, Thomas
Vincent Desmarest, Marie

------

IMAGE
11247.jpg




DATABASE ID
11248

NAME
Porée, Andeé
Pichot, Marie Josephe

------

IMAGE
11248.jpg




DATABASE ID
11249

NAME
Porré, André
Pichot, Josephe

------

IMAGE
11249.jpg




DATABASE ID
11250

NAME
Porre, Jacques
Comon, Marie

------

IMAGE
11250.jpg




DATABASE ID
11251

NAME
Potin, Adrien
Lestideur, Vincente Catherine

------

IMAGE
11251.jpg




DATABASE ID
11252

NAME
Pouille dit Favory, Jean
Pourrere, Isabelle, veuve de Arnaud

------

IMAGE
11252.jpg




DATABASE ID
11253

NAME
Pouilly, Jean Paul
David dit Saint Michel, Marie Josephe

------

IMAGE
11253.jpg




DATABASE ID
11254

NAME
Poulard La Bruyère, Nicolas, veuf de Marguerite Duchemin/Nicolas
Chancerel, Julienne, veuve de Claude Arot

------

IMAGE
11254.jpg




DATABASE ID
11255

NAME
Prégent, François
Urignon, Marie Madeleine

------

IMAGE
11255.jpg




DATABASE ID
11256

NAME
Presis, Julien
Martin, Claire, veuve de Pierre Vinet

------

IMAGE
11256.jpg




DATABASE ID
11257

NAME
Prévost, Jacques
Carrerot, Marguerite Thérèse

------

IMAGE
11257.jpg




DATABASE ID
11258

NAME
Prévost, Jacques
Carrerot, Margueritte Thérèse

------

IMAGE
11258.jpg




DATABASE ID
11259

NAME
Prévost

------

IMAGE
11259.jpg




DATABASE ID
11260

NAME
Prévost, Pierre Nicolas
Daguerre, Angélique, veuve de Motin

------

IMAGE
11260.jpg




DATABASE ID
11261

NAME
Provost, Pierre Nicolas
Daguerre, Angélique

------

IMAGE
11261.jpg




DATABASE ID
11262

NAME
Prévot, Jean
Cronier, Jeanne,veuve de Jean Laumonier

------

IMAGE
11262.jpg




DATABASE ID
11263

NAME
Prie, Jean
Silvestre, Marguerite

------

IMAGE
11263.jpg




DATABASE ID
11264

NAME
Prigent dit Le Breton, Nicolas
Dubord, Françoise

------

IMAGE
11264.jpg




DATABASE ID
11265

NAME
Pringault, Jean Jacques
Le Manquet, Bernardine

------

IMAGE
11265.jpg




DATABASE ID
11266

NAME
Pugnant dit Detouches, Claude
Milly de La Croix, Catherine

------

IMAGE
11266.jpg




DATABASE ID
11267

NAME
Pugnant dit Detouches, Claude
Milly dit LaCroix, Catherine

------

IMAGE
11267.jpg




DATABASE ID
11268

NAME
Pugnant dit Detouche, Nicolas
Brunet, Marie

------

IMAGE
11268.jpg




DATABASE ID
11269

NAME
Pugnant, Nicholas
Detouches

------

IMAGE
11269.jpg




DATABASE ID
11270

NAME
Pugnan dit Detouches Nicholas
Pugnans dit Detouches Nicholas

------

IMAGE
11270.jpg




DATABASE ID
11271

NAME
Pugnan, Nicolas

------

IMAGE
11271.jpg




DATABASE ID
11272

NAME
Quartier, Jacque
Hechaste, Jeanne

------

IMAGE
11272.jpg




DATABASE ID
11273

NAME
Quemein, Yves
[Grossin], Marie

------

IMAGE
11273.jpg




DATABASE ID
11274

NAME
Rabas, Jacques
Tanquerelle, Jeanne

------

IMAGE
11274.jpg




DATABASE ID
11275

NAME
Rabar, Jacques

------

IMAGE
11275.jpg




DATABASE ID
11276

NAME
Rabare, Jacque

------

IMAGE
11276.jpg




DATABASE ID
11277

NAME
Rabas Lapichardierre, Jacque
VilleDieu, Magdeleine

------

IMAGE
11277.jpg




DATABASE ID
11278

NAME
Rafina, Matherin
Dulys, Thérèse

------

IMAGE
11278.jpg




DATABASE ID
11279

NAME
Ragneau, Pierre
Seguin, Jeanne

------

IMAGE
11279.jpg




DATABASE ID
11280

NAME
Raguenaud, Pierre
Beguin, Jeanne

------

IMAGE
11280.jpg




DATABASE ID
11281

NAME
Rambourg, Félix
Vilalon, Marie Jeanne

------

IMAGE
11281.jpg




DATABASE ID
11282

NAME
Raoux, Antoine
Quirisie, Marie Anne

------

IMAGE
11282.jpg




DATABASE ID
11283

NAME
Raux, Pierre

------

IMAGE
11283.jpg




DATABASE ID
11284

NAME
Rau, Pierre
Baucher, Jeanne

------

IMAGE
11284.jpg




DATABASE ID
11285

NAME
Rault, Estienne
Loriolt, Françoise

------

IMAGE
11285.jpg




DATABASE ID
11286

NAME
Recault, Gilles [? Etienne Rault]
Le Soeur, Mauricette

------

IMAGE
11286.jpg




DATABASE ID
11287

NAME
Renaud, Jacque
Pelletier, Angélique

------

IMAGE
11287.jpg




DATABASE ID
11288

NAME
Renaud, Jacque
Pelletier, Angélique

------

IMAGE
11288.jpg




DATABASE ID
11289

NAME
Revol, Gabrielle
Allemand, Geneviève

------

IMAGE
11289.jpg




DATABASE ID
11290

NAME
Richard, Vidal
Martin, Marie Jeanne

------

IMAGE
11290.jpg




DATABASE ID
11291

NAME
Richard, Jean
Samson, Marie Magdeleine

------

IMAGE
11291.jpg




DATABASE ID
11292

NAME
Richard, Jean

------

IMAGE
11292.jpg




DATABASE ID
11293

NAME
Ridole, Pierre
Boudet, Marie, veuve de Thomas LeMetayer

------

IMAGE
11293.jpg




DATABASE ID
11294

NAME
Robert, Pierre
Bellefeuille, Marie Josephe

------

IMAGE
11294.jpg




DATABASE ID
11295

NAME
Robin, René
Pinet, Anne-Jeanne

------

IMAGE
11295.jpg




DATABASE ID
11296

NAME
Roche, Etienne
Fizel, Anne

------

IMAGE
11296.jpg




DATABASE ID
11297

NAME
Roche, Jean
Valette [Vallée], Marie

------

IMAGE
11297.jpg




DATABASE ID
11298

NAME
Rodrigues, Michel
Lartigue, Marguerite

------

IMAGE
11298.jpg




DATABASE ID
11299

NAME
Rodrigue, Jean Baptiste
LeBorgne de Belle Isle, Anne

------

IMAGE
11299.jpg




DATABASE ID
11300

NAME
Rodrigue, Pierre
Castaing, Rose

------

IMAGE
11300.jpg




DATABASE ID
11301

NAME
Rodrigue, Antoine
Jacau, Françoise Jeanne

------

IMAGE
11301.jpg




DATABASE ID
11302

NAME
Rodrigue, Antoine
Jacau, Françoise

------

IMAGE
11302.jpg




DATABASE ID
11303

NAME
Rolland, Jacque François
Crichon de LaTour, Marie Louise

------

IMAGE
11303.jpg




DATABASE ID
11304

NAME
Rodrigue, Jean
Rodrigue

------

IMAGE
11304.jpg




DATABASE ID
11305

NAME
Rodrigue
Rodrigue

------

IMAGE
11305.jpg




DATABASE ID
11306

NAME
Rodrigues, Jean
Rodrigues, Jean

------

IMAGE
11306.jpg




DATABASE ID
11307

NAME
Rodrigue, la veuve

------

IMAGE
11307.jpg




DATABASE ID
11308

NAME
Romain dit St Antoine
Romain, Antoine [côti nord]

------

IMAGE
11308.jpg




DATABASE ID
11309

NAME
Romain, Antoine [côte nord]
St Antoine

------

IMAGE
11309.jpg




DATABASE ID
11310

NAME
Romain dit St Antoine, Antoine
St. Antoine veuve

------

IMAGE
11310.jpg




DATABASE ID
11311

NAME
Rondel, Charles
Seaux, Françoise

------

IMAGE
11311.jpg




DATABASE ID
11312

NAME
Rondel, Simon
Baucher, Magdeleine

------

IMAGE
11312.jpg




DATABASE ID
11313

NAME
Rondel, Simon
Rondel, Simon

------

IMAGE
11313.jpg




DATABASE ID
11314

NAME
Rondau

------

IMAGE
11314.jpg




DATABASE ID
11315

NAME
Rondeau, Jacques Philippe
Le Borgne de BelleIsle, Marie Joseph

------

IMAGE
11315.jpg




DATABASE ID
11316

NAME
Rondeau, Jacques Philippe
de Bel Isle, Marie Joseph

------

IMAGE
11316.jpg




DATABASE ID
11317

NAME
Rosse, George
de Galbaret, Marie

------

IMAGE
11317.jpg




DATABASE ID
11318

NAME
Rosse, George, veuf de Marie De Galbaret
Thesson dit La Flourie, Barbe

------

IMAGE
11318.jpg




DATABASE ID
11319

NAME
Rosse, George, veuve de Barbe Thesson
Bertrand, Marguerite, veuve de Gabriel Dangeac

------

IMAGE
11319.jpg




DATABASE ID
11320

NAME
Rosse, Noel
Herpin dit La Ramée, Marie

------

IMAGE
11320.jpg




DATABASE ID
11321

NAME
Rosse, Noel
Herpin, Marie

------

IMAGE
11321.jpg




DATABASE ID
11322

NAME
Rotty, Jean Gilles Joseph
Guilleton, Marguerite Louise, veuve de Jean Caseau

------

IMAGE
11322.jpg




DATABASE ID
11323

NAME
Rose dit Fontaine, Jacques Christophe
DanJou, Marie Jeanne, veuve de Matheurin Germin

------

IMAGE
11323.jpg




DATABASE ID
11324

NAME
Rosee, Jacques
Tayier, Marie

------

IMAGE
11324.jpg




DATABASE ID
11325

NAME
Rollant, Allain
Le Seigneur, Laurenie

------

IMAGE
11325.jpg




DATABASE ID
11326

NAME
Romain dit St Antoine, Antoine
Gosselin {Beausoleil] [Josselin], Catherine

------

IMAGE
11326.jpg




DATABASE ID
11327

NAME
Rourk, Daniel
Necnemarre, Anne

------

IMAGE
11327.jpg




DATABASE ID
11328

NAME
Rousseau, Pierre
Masse, Jeanne Marguerite

------

IMAGE
11328.jpg




DATABASE ID
11329

NAME
Rousseau de Souvigny, Pierre
St Etienne de LaTour, Jeanne, veuve de Jacques Pontif

------

IMAGE
11329.jpg




DATABASE ID
11330

NAME
Rousseau de souvigny

------

IMAGE
11330.jpg




DATABASE ID
11331

NAME
Rousseau de VilleJouin, Gabriel,veuf de Anne Gannes de Falaise
Le Neuf de La Vallière, Barbe,veuve de Louis Delort

------

IMAGE
11331.jpg




DATABASE ID
11332

NAME
Rousseau De VilleJoint

------

IMAGE
11332.jpg




DATABASE ID
11333

NAME
Rousseau de VilleJouin, Gabriel
Gannes de Falaise, Anne Angélique

------

IMAGE
11333.jpg




DATABASE ID
11334

NAME
Rousseau de DevilleJouin, Gabriel
Gannes Falaise de, Anne Angélique

------

IMAGE
11334.jpg




DATABASE ID
11335

NAME
Roussin, Lazare Mathieu
Paris, Angélique, veuve de Adam

------

IMAGE
11335.jpg




DATABASE ID
11336

NAME
Roy, François
Duprat, Magdelaine

------

IMAGE
11336.jpg




DATABASE ID
11337

NAME
Roy, Jacque
Chomelle, Marie

------

IMAGE
11337.jpg




DATABASE ID
11338

NAME
Royau, Alexandre
VilleDieu, Cécile

------

IMAGE
11338.jpg




DATABASE ID
11339

NAME
[Royeau, Alexandre]
VilleDieu, Cécile

------

IMAGE
11339.jpg




DATABASE ID
11340

NAME
Ruaux, Gilles
Le Fourt, Mauricette

------

IMAGE
11340.jpg




DATABASE ID
11341

NAME
Paule Sabatier de, François
Degoutin, Louise

------

IMAGE
11341.jpg




DATABASE ID
11342

NAME
Sabatier, François de Paule

------

IMAGE
11342.jpg




DATABASE ID
11343

NAME
Sabot, Jean
LaMer,de, Catherine

------

IMAGE
11343.jpg




DATABASE ID
11344

NAME
Saint Étienne De La Tour, Charles,veuf de Marie Anne Péré
Richard, Marguerite, veuve de Joseph Dugas

------

IMAGE
11344.jpg




DATABASE ID
11345

NAME
Saint Étienne De La Tour, Charles
Péré, Marie Anne

------

IMAGE
11345.jpg




DATABASE ID
11346

NAME
Salauvein, Mathieu
Grimaud, Magdelaine, veuve de Jean Ménard

------

IMAGE
11346.jpg




DATABASE ID
11347

NAME
Salmon, François
Le Roy, Thérèse

------

IMAGE
11347.jpg




DATABASE ID
11348

NAME
Salmon, Louis
Gosselin, Catherine Marguerite, veuve de Antoine Romain

------

IMAGE
11348.jpg




DATABASE ID
11349

NAME
Sanglard, Pierre
Dardif, Anne

------

IMAGE
11349.jpg




DATABASE ID
11350

NAME
Santche dit Belhumeur, Salvadore
Diulet, Françoise, veuve de Jacque Bosque

------

IMAGE
11350.jpg




DATABASE ID
11351

NAME
Santier, Pierre-Maurice
Bonnier, Servanne

------

IMAGE
11351.jpg




DATABASE ID
11352

NAME
Santier, Maurice

------

IMAGE
11352.jpg




DATABASE ID
11353

NAME
Santier, Pierre

------

IMAGE
11353.jpg




DATABASE ID
11354

NAME
Santier, Pierre Maurice
Servanne Bonnier, Marie

------

IMAGE
11354.jpg




DATABASE ID
11355

NAME
Santier, Ollivier
Bruno [Pruneau], Geneviève

------

IMAGE
11355.jpg




DATABASE ID
11356

NAME
Sauneuf, Laurent
Babin, Magdeleine, veuve de Jean Martin

------

IMAGE
11356.jpg




DATABASE ID
11357

NAME
Sauneuf, Laurens

------

IMAGE
11357.jpg




DATABASE ID
11358

NAME
Sauneuf, Laurent
Babin, Magdelaine

------

IMAGE
11358.jpg




DATABASE ID
11359

NAME
Saure dit Brise Bataille, Philippe
Coneau, Anne

------

IMAGE
11359.jpg




DATABASE ID
11360

NAME
Savery, Jean Étienne
Rouline, Françoise

------

IMAGE
11360.jpg




DATABASE ID
11361

NAME
[Savary, Étienne]
Roulume, Françoise

------

IMAGE
11361.jpg




DATABASE ID
11362

NAME
Scandalen, Necholas
Millon, Marie Pelagie

------

IMAGE
11362.jpg




DATABASE ID
11363

NAME
Seigneur dit LaRivière, Jean
Corporon, Marie Magdeleine

------

IMAGE
11363.jpg




DATABASE ID
11364

NAME
Seigneur dit La Rivière, Jean
Seigneur dit La Rivière, Jean

------

IMAGE
11364.jpg




DATABASE ID
11365

NAME
Seigneur, Jean

------

IMAGE
11365.jpg




DATABASE ID
11366

NAME
Semet, Richard
Poen, Ellen

------

IMAGE
11366.jpg




DATABASE ID
11367

NAME
Semidon, Jean Silvain
Faye, Françoise, veuve de Antoine Grainail

------

IMAGE
11367.jpg




DATABASE ID
11368

NAME
Semidon, Silvain Jean

------

IMAGE
11368.jpg




DATABASE ID
11369

NAME
Senat, Jean
Du Tour, Antoinette

------

IMAGE
11369.jpg




DATABASE ID
11370

NAME
Senat, Jean
Dutour, Toinette

------

IMAGE
11370.jpg




DATABASE ID
11371

NAME
Severy, Guillaume
La Mer, de, Magdelaine

------

IMAGE
11371.jpg




DATABASE ID
11372

NAME
Severy, Guillaume
La Marre de, Magdelaine

------

IMAGE
11372.jpg




DATABASE ID
11373

NAME
Silvain Dupleix, Jean Baptiste
Benoit, Geneviève

------

IMAGE
11373.jpg




DATABASE ID
11374

NAME
Simon dit Appetit, Pierre
Dunau, Marie Anne

------

IMAGE
11374.jpg




DATABASE ID
11375

NAME
Simon dit Boucher, Pierre
Pinet, Marie

------

IMAGE
11375.jpg




DATABASE ID
11376

NAME
Simon dit La Geroflée, Antoine
Mories, Marie Françoise

------

IMAGE
11376.jpg




DATABASE ID
11377

NAME
Simoneau, Claude
Lagary, Philippee

------

IMAGE
11377.jpg




DATABASE ID
11378

NAME
Simonet dit Berry, Jean
Duseaux, Marguerite, veuve de François Dardy dit Chaufournier

------

IMAGE
11378.jpg




DATABASE ID
11379

NAME
Sonnier, Augustin
Lavois, Anne

------

IMAGE
11379.jpg




DATABASE ID
11380

NAME
Soudain, Jean Louis
Farlan, Catherine

------

IMAGE
11380.jpg




DATABASE ID
11381

NAME
Souker, Jean
Cousin, Marie

------

IMAGE
11381.jpg




DATABASE ID
11382

NAME
Stouz, Jean Laurent
Truchea, Marie Magdelène

------

IMAGE
11382.jpg




DATABASE ID
11383

NAME
Subtil, Georges
Thesson La Floury, Louise

------

IMAGE
11383.jpg




DATABASE ID
11384

NAME
Tachereau, Thomas Jacques
Fleury de La Gargandière, Marie Claire

------

IMAGE
11384.jpg




DATABASE ID
11385

NAME
Talard, Claude
Alain, Thérèse

------

IMAGE
11385.jpg




DATABASE ID
11386

NAME
TarDieu, Guillaume Michel
Solé, Marie Françoise

------

IMAGE
11386.jpg




DATABASE ID
11387

NAME
Tarride Duhaget, Robert [Louis]
Rousseau de VilleJouin, Marguerite

------

IMAGE
11387.jpg




DATABASE ID
11388

NAME
Tarride DuHaget, Robert
Rousseau de VilleJouin, Marie Marguerite

------

IMAGE
11388.jpg




DATABASE ID
11389

NAME
Temphedal, Joseph
Houtin, Catherine

------

IMAGE
11389.jpg




DATABASE ID
11390

NAME
Tessé, Jean
Bodard, Marie

------

IMAGE
11390.jpg




DATABASE ID
11391

NAME
Tessier dit J'Entre Gout, Pierre
Bonneau, Marie Anne

------

IMAGE
11391.jpg




DATABASE ID
11392

NAME
Tetard dit Paris, François
Douaron, Marie

------

IMAGE
11392.jpg




DATABASE ID
11393

NAME
Thesse, Jean
Bodart, Marie

------

IMAGE
11393.jpg




DATABASE ID
11394

NAME
Tessier [fils (?)], Pierre

------

IMAGE
11394.jpg




DATABASE ID
11395

NAME
Thesse, Pierre
Durel, Marguerite

------

IMAGE
11395.jpg




DATABASE ID
11396

NAME
Thesson dit La Floury, Elie
Million, Simone Jeanne

------

IMAGE
11396.jpg




DATABASE ID
11397

NAME
Thurin, Mathieu
Le Moine, Hélène

------

IMAGE
11397.jpg




DATABASE ID
11398

NAME
Thurin, Mathieu
Herpe, Françoise

------

IMAGE
11398.jpg




DATABASE ID
11399

NAME
Thurin, Mathieu

------

IMAGE
11399.jpg




DATABASE ID
11400

NAME
Tolmand, Ignace
Hisperay, Marie Anne

------

IMAGE
11400.jpg




DATABASE ID
11401

NAME
de Toulon, Joannis
Bonneau, Marie

------

IMAGE
11401.jpg




DATABASE ID
11402

NAME
Toulon, Joannis

------

IMAGE
11402.jpg




DATABASE ID
11403

NAME
Toulon, Joannis [côte nord]
Toulon, Joannis [côte nord]

------

IMAGE
11403.jpg




DATABASE ID
11404

NAME
Toulon, Joannis
Toulon [veuve]

------

IMAGE
11404.jpg




DATABASE ID
11405

NAME
Toulon, Nicolas
L'Étrange, Marie Josephe

------

IMAGE
11405.jpg




DATABASE ID
11406

NAME
Touquerand, Jean Baptiste
Boucher, Marguerite

------

IMAGE
11406.jpg




DATABASE ID
11407

NAME
Tournais, Jean-Baptiste
Guyon, Louise Josephe [veuve de Jean Baptiste Petitpas]?!

------

IMAGE
11407.jpg




DATABASE ID
11408

NAME
Trahan(T), Olivier
Le Jeune, Isabelle

------

IMAGE
11408.jpg




DATABASE ID
11409

NAME
Treguy, George
Villalon, Marie Jeanne, veuve de Félix Rambour

------

IMAGE
11409.jpg




DATABASE ID
11410

NAME
Treguy, Jacques
Clermont dit La Rose, Jeanne

------

IMAGE
11410.jpg




DATABASE ID
11411

NAME
Treguy, Pierre
Clermont, Jeanne

------

IMAGE
11411.jpg




DATABASE ID
11412

NAME
Tréguy, René
Maissonat, Judith

------

IMAGE
11412.jpg




DATABASE ID
11413

NAME
Tréguy, René

------

IMAGE
11413.jpg




DATABASE ID
11414

NAME
Tremouline dit La Violette, Jean
Loist, Christine

------

IMAGE
11414.jpg




DATABASE ID
11415

NAME
Trunet dit Francoeur, Étienne
Martin, Cécille

------

IMAGE
11415.jpg




DATABASE ID
11416

NAME
Turenne, Jean
Arboure, Isabelle

------

IMAGE
11416.jpg




DATABASE ID
11417

NAME
Typhon, François
Gastineau, Jeanne

------

IMAGE
11417.jpg




DATABASE ID
11418

NAME
Valentin dit Micto, Michel
Baudry, Marie

------

IMAGE
11418.jpg




DATABASE ID
11419

NAME
Valentin, Micto
Valentin, Micto

------

IMAGE
11419.jpg




DATABASE ID
11420

NAME
Vallée, François Magdeleine
Cazel, Laurence

------

IMAGE
11420.jpg




DATABASE ID
11421

NAME
Vallée, Louis-Félix
Le Large, Marie Josephe

------

IMAGE
11421.jpg




DATABASE ID
11422

NAME
Vallé, Michel
Santier, Mathurine

------

IMAGE
11422.jpg




DATABASE ID
11423

NAME
Vallé, Jacque
Tardif, Anne

------

IMAGE
11423.jpg




DATABASE ID
11424

NAME
Vallée, Charles
Piton, Marie

------

IMAGE
11424.jpg




DATABASE ID
11425

NAME
Vallée, Charles
Piton, Marie

------

IMAGE
11425.jpg




DATABASE ID
11426

NAME
Vallée, Louis Félix
LeLarge, Marie-Josephe

------

IMAGE
11426.jpg




DATABASE ID
11427

NAME
Vallée, François
Vallée, François

------

IMAGE
11427.jpg




DATABASE ID
11428

NAME
Vallé, Louis

------

IMAGE
11428.jpg




DATABASE ID
11429

NAME
Vallery, François
Audet, Marie Anne

------

IMAGE
11429.jpg




DATABASE ID
11430

NAME
Vies, Jean Baptiste
Rodin, Catherine

------

IMAGE
11430.jpg




DATABASE ID
11431

NAME
Vigneron, François
Theriau, Marguerite, veuve de Boisseau

------

IMAGE
11431.jpg




DATABASE ID
11432

NAME
Vilain, François
Roy, Marie

------

IMAGE
11432.jpg




DATABASE ID
11433

NAME
VilFayo dit La Pierre, André
Bertet, Marguerite

------

IMAGE
11433.jpg




DATABASE ID
11434

NAME
Villefayot, André

------

IMAGE
11434.jpg




DATABASE ID
11435

NAME
Villairey, de, Benjamin
La Force, Marie Josephe

------

IMAGE
11435.jpg




DATABASE ID
11436

NAME
VilleDieu, Jean Baptiste
Blondel, Marie Françoise

------

IMAGE
11436.jpg




DATABASE ID
11437

NAME
VilleDieu, Jean Baptiste
Hebert, Anne

------

IMAGE
11437.jpg




DATABASE ID
11438

NAME
VilDieu, Jean Baptiste

------

IMAGE
11438.jpg




DATABASE ID
11439

NAME
VilleDieu, Jean Baptiste, veuf de Anne Hébert
Grosset, Catherine Marie, veuve de La Tour DesJardin

------

IMAGE
11439.jpg




DATABASE ID
11440

NAME
VilleDieu, Pierre Martin
Cruchon de La Tour, Marie

------

IMAGE
11440.jpg




DATABASE ID
11441

NAME
VillDonnée, Étienne
Damours de Louvière, Marguerite

------

IMAGE
11441.jpg




DATABASE ID
11442

NAME
VillDonne de, Estienne
D'Amour, Marguerite

------

IMAGE
11442.jpg




DATABASE ID
11443

NAME
Vincent, François
Douairon, Marguerite

------

IMAGE
11443.jpg




DATABASE ID
11444

NAME
Vinet, Pierre
Longue Épée, Magdeleine

------

IMAGE
11444.jpg




DATABASE ID
11445

NAME
Vinet, Pierre
Martin, Claire

------

IMAGE
11445.jpg




DATABASE ID
11446

NAME
Vinet, Pierre
Vinet, Pierre

------

IMAGE
11446.jpg




DATABASE ID
11447

NAME
Vinet dit xaintonge, Pierre

------

IMAGE
11447.jpg




DATABASE ID
11448

NAME
Vinzelle dit La Lancette, François
Acka, Jeanne

------

IMAGE
11448.jpg




DATABASE ID
11449

NAME
Violet, Charles, veuf de Marie David
Sudois, Marie Anne

------

IMAGE
11449.jpg




DATABASE ID
11450

NAME
Vistort, Jacque
Acca, Jeanne

------

IMAGE
11450.jpg




DATABASE ID
11451

NAME
Vogt, Martin
Kircherin, Anne

------

IMAGE
11451.jpg




DATABASE ID
11452

NAME
Cocque, Martin [Vogt]
Focq, Martin

------

IMAGE
11452.jpg




DATABASE ID
11453

NAME
Voite, Christophe
Chalyé, Charlotte

------

IMAGE
11453.jpg




DATABASE ID
11454

NAME
Vuoils [?], March
Vuoils [?], Marie

------

IMAGE
11454.jpg




DATABASE ID
11455

NAME
Zaimard, Ambroise
Vincent Desmaret, Marguerite

------

IMAGE
11455.jpg




DATABASE ID
11456

NAME
Baudouin, Pierre
[Le] Large, Marie

------

IMAGE
11456.jpg




DATABASE ID
11457

NAME
Benoist, Jean
Traham, Anne

------

IMAGE
11457.jpg




DATABASE ID
11458

NAME
Benoit, Augustine
Le Jeune, Marguerite

------

IMAGE
11458.jpg




DATABASE ID
11459

NAME
Boutin, Eustache
Vigé, Agatte

------

IMAGE
11459.jpg




DATABASE ID
11460

NAME
Boutin, Joseph
Pitre, Françoise

------

IMAGE
11460.jpg




DATABASE ID
11461

NAME
Charpentier, Pierre
Giraud, Marie Jeanne, veuve de Nicholas Colas

------

IMAGE
11461.jpg




DATABASE ID
11462

NAME
Chouquet, Jean
Cousin, Marie

------

IMAGE
11462.jpg




DATABASE ID
11463

NAME
Cousin La Vigne, Jean
Quedry, Judith

------

IMAGE
11463.jpg




DATABASE ID
11464

NAME
Davon, Mathieu
Boudro, Marguerite

------

IMAGE
11464.jpg




DATABASE ID
11465

NAME
Fournier, Jean
Le Roy, Marie Josephe

------

IMAGE
11465.jpg




DATABASE ID
11466

NAME
Galien, Guillaume
LeJeune, Josephe

------

IMAGE
11466.jpg




DATABASE ID
11467

NAME
LaGuerre, Jean Baptiste
Trevant, Brigitte

------

IMAGE
11467.jpg




DATABASE ID
11468

NAME
La Rose, Jean
Girauld, Marie Jeanne, veuve de Pierre Charpentier

------

IMAGE
11468.jpg




DATABASE ID
11469

NAME
Nicholas dit DiJon, Bernard
Cousin, Charlotte

------

IMAGE
11469.jpg




DATABASE ID
11470

NAME
Princhard dit Pottevin, Jean
Trahant, Agathe Blanche

------

IMAGE
11470.jpg




DATABASE ID
11471

NAME
Richard dit L'Harmonie, Jacques
Le Nouvel, Yvonne

------

IMAGE
11471.jpg




DATABASE ID
11472

NAME
Roy, Alexandre
Devau, Anne

------

IMAGE
11472.jpg




DATABASE ID
11473

NAME
Trahant, Benjamin
Le Jeune, Cecile

------

IMAGE
11473.jpg




DATABASE ID
11474

NAME
Trahant, Honoré
Corporon, Marie

------

IMAGE
11474.jpg




DATABASE ID
11475

NAME
Bertrand, Jean
Le Borgne de BelleIsle, Marie

------

IMAGE
11475.jpg




DATABASE ID
11476

NAME
Bertrand, Pierre
Pitt, Françoise

------

IMAGE
11476.jpg




DATABASE ID
11477

NAME
Boulard, Pierre
Bouché, Susanne,veuve de Pierre Robidou de L'I.R.

------

IMAGE
11477.jpg




DATABASE ID
11478

NAME
de CapendGuy, Michel
Gonillon, Marie Josephe, veuve de Jean Pichot

------

IMAGE
11478.jpg




DATABASE ID
11479

NAME
Copieau dit Des Aleurs, Augustin Servan
DesRoche, Marguerite

------

IMAGE
11479.jpg




DATABASE ID
11480

NAME
Daccarette, Jacques
Morchoix, Marie

------

IMAGE
11480.jpg




DATABASE ID
11481

NAME
De Hiriarte, Pierre
Le Laye De Sellaye, Marie, veuve de Jean De Sala

------

IMAGE
11481.jpg




DATABASE ID
11482

NAME
De Jaureguy Berry, Joannis
Bertrand, Marguerite

------

IMAGE
11482.jpg




DATABASE ID
11483

NAME
De Sala [Lola], Joannis
DE Selllaye, Marie

------

IMAGE
11483.jpg




DATABASE ID
11484

NAME
DesRocher, Étienne
Le Manquet, Gabrielle

------

IMAGE
11484.jpg




DATABASE ID
11485

NAME
Du Perier, Jean Baptiste
La Borgne de Belle Isle, Anne, veuve de Jean Baptiste Rodrigue

------

IMAGE
11485.jpg




DATABASE ID
11486

NAME
DesRoches, Jean
Gosselin, Catherine

------

IMAGE
11486.jpg




DATABASE ID
11487

NAME
Dupont La Barre, Pierre
Gloro, Perrine Thérèse

------

IMAGE
11487.jpg




DATABASE ID
11488

NAME
Gassot, Louis
Coupiaux, Anne

------

IMAGE
11488.jpg




DATABASE ID
11489

NAME
Gautier, Simon
Dohier, Jacqueline

------

IMAGE
11489.jpg




DATABASE ID
11490

NAME
Gosselin, Robert
Gloro, Perrine Thérèse, veuve de Pierre Dupont LaBarre

------

IMAGE
11490.jpg




DATABASE ID
11491

NAME
Greffin, Thimothé
Hes, Marie

------

IMAGE
11491.jpg




DATABASE ID
11492

NAME
La Fond, [S.]Tabar [?]
Sabot, Gilette

------

IMAGE
11492.jpg




DATABASE ID
11493

NAME
Hamelin, Nicholas
Gosselin, Catherine, veuve de Jean DesRoches

------

IMAGE
11493.jpg




DATABASE ID
11494

NAME
Guillonet, Guillaume
Goupy, Marie Jeanne

------

IMAGE
11494.jpg




DATABASE ID
11495

NAME
Le Caudé, Philibert
Bornie, Thérèse

------

IMAGE
11495.jpg




DATABASE ID
11496

NAME
LaFontaine Hurel, Jean
Gloro, Perinne Thérèse, veuve en 2ième.noce Robert Gosselin

------

IMAGE
11496.jpg




DATABASE ID
11497

NAME
Le Cerf, Pierre
Grandin, Thérèse

------

IMAGE
11497.jpg




DATABASE ID
11498

NAME
Le Métayer, Lucas
Pichot, Marie Catherine

------

IMAGE
11498.jpg




DATABASE ID
11499

NAME
Le Moine, Pierre
Bonnière, Geneviève

------

IMAGE
11499.jpg




DATABASE ID
11500

NAME
Le Tourneau d'Louvri, Jacques
Roger, Catherine, veuve de Jean Goupit

------

IMAGE
11500.jpg




DATABASE ID
11501

NAME
Paris, André
Dupond LaBarre, Perinne

------

IMAGE
11501.jpg




DATABASE ID
11502

NAME
Perré, René Pierre
Bouché, Louise

------

IMAGE
11502.jpg




DATABASE ID
11503

NAME
Pichot, Jean
De Gonillon, Marie Josèphe

------

IMAGE
11503.jpg




DATABASE ID
11504

NAME
Pitt [Tonpic], Thomas
[Ostendo Orrendo], Marie

------

IMAGE
11504.jpg




DATABASE ID
11505

NAME
Poiré, André
Pichot, Marie Josephe

------

IMAGE
11505.jpg




DATABASE ID
11506

NAME
Robidou, Pierre
Bouché, Susanne

------

IMAGE
11506.jpg




DATABASE ID
11507

NAME
Roussel, Alain
Bonnière, Geneviève, veuve de Pierre Le Moine

------

IMAGE
11507.jpg




DATABASE ID
11508

NAME
Silvain Dupleix, Jean Claude
Gonillon, Catherine

------

IMAGE
11508.jpg




DATABASE ID
11509

NAME
Sorel, Jean
Höuel, Magdelène

------

IMAGE
11509.jpg




DATABASE ID
11510

NAME
Tompec, Pierre
Bertrand, Marie Anne

------

IMAGE
11510.jpg




DATABASE ID
11511

NAME
Tompie, André
D'Aigre, Cécille

------

IMAGE
11511.jpg




DATABASE ID
11512

NAME
Tompie, André, veuf de Cécille D'Aigre
Benoist, Anne

------

IMAGE
11512.jpg




DATABASE ID
11513

NAME
Tompie, André
D'Aigle, Cécille

------

IMAGE
11513.jpg




DATABASE ID
11514

NAME
Tompie, Étienne
Thesse, Marguerite

------

IMAGE
11514.jpg




DATABASE ID
11515

NAME
Totin, Jacque
Tourat, Marie

------

IMAGE
11515.jpg




DATABASE ID
11516

NAME
Voisin [Noisin], Guy
Tompic [Pitt], Catherine

------

IMAGE
11516.jpg




DATABASE ID
11517

NAME
Le Born, Nicolas
Arambour, Josèphe

------

IMAGE
11517.jpg




DATABASE ID
11518

NAME
Colas, Nicolas
Giraud, Marie Jeanne

------

IMAGE
11518.jpg




DATABASE ID
11519

NAME
Grossin, Jean
Durand, Françoise

------

IMAGE
11519.jpg




DATABASE ID
11520

NAME
Layey, Daniel
Caner, Marie

------

IMAGE
11520.jpg




DATABASE ID
11521

NAME
Barbudeau, Georges
Vrigneau, Marguerite Françoise

------

IMAGE
11521.jpg




DATABASE ID
11522

NAME
Beaulieu, Jean
Radou, Marie Madeleine, veuve de Julien Poirier

------

IMAGE
11522.jpg




DATABASE ID
11523

NAME
Belin, Jacques
Durand, Françoise

------

IMAGE
11523.jpg




DATABASE ID
11524

NAME
Bonain, Pierre
Guyon, Marguerite

------

IMAGE
11524.jpg




DATABASE ID
11525

NAME
Clément, Jean
Druse [Druce], Marie

------

IMAGE
11525.jpg




DATABASE ID
11526

NAME
DesRoches, Hervé
Berbudeau, Marie

------

IMAGE
11526.jpg




DATABASE ID
11527

NAME
Dorcalar, Étienne
Guyot, Marie

------

IMAGE
11527.jpg




DATABASE ID
11528

NAME
Grehain, Jean
Papon, Marie

------

IMAGE
11528.jpg




DATABASE ID
11529

NAME
Guiot, Pierre
Baudry, Françoise

------

IMAGE
11529.jpg




DATABASE ID
11530

NAME
Guyot, Pierre [femme]
Guiot

------

IMAGE
11530.jpg




DATABASE ID
11531

NAME
Guyot [Côte nord]
Guiot

------

IMAGE
11531.jpg




DATABASE ID
11532

NAME
Hardy, François
Clément, Marie

------

IMAGE
11532.jpg




DATABASE ID
11533

NAME
Horquelard,de, Étienne [Stephen]
Guyot, Marie Françoise

------

IMAGE
11533.jpg




DATABASE ID
11534

NAME
inconnu
xx , Marie

------

IMAGE
11534.jpg




DATABASE ID
11535

NAME
Isidore, Claude
xx, Marie Josèphe

------

IMAGE
11535.jpg




DATABASE ID
11536

NAME
L'Indiens [Letournoni], Jacques
xx, Anne

------

IMAGE
11536.jpg




DATABASE ID
11537

NAME
Liard, Jacque
Clément, Catherine

------

IMAGE
11537.jpg




DATABASE ID
11538

NAME
Liard, Jacque, veuf de Catherine Clément
Paris, Marie Louise, veuve de Julien Marchand

------

IMAGE
11538.jpg




DATABASE ID
11539

NAME
Marchand, Le, Julien
Clément, Françoise

------

IMAGE
11539.jpg




DATABASE ID
11540

NAME
Mikdalem, Michel
Gautier, Marie, veuve de Jean Vrignaux

------

IMAGE
11540.jpg




DATABASE ID
11541

NAME
Papon, Jean
Longue Epée, Isabelle

------

IMAGE
11541.jpg




DATABASE ID
11542

NAME
Peré, Jean
Guyon Marguerite, veuve de Pierre Bonin La Chaume

------

IMAGE
11542.jpg




DATABASE ID
11543

NAME
Picard, Mathurin
Bonin, Angélique

------

IMAGE
11543.jpg




DATABASE ID
11544

NAME
Picart, François
Berbudo, Anne

------

IMAGE
11544.jpg




DATABASE ID
11545

NAME
Pichau, René
Toulon, Isabelle

------

IMAGE
11545.jpg




DATABASE ID
11546

NAME
Poirier, Julien
Radon, Marie Magdeleine

------

IMAGE
11546.jpg




DATABASE ID
11547

NAME
Saux

------

IMAGE
11547.jpg




DATABASE ID
11548

NAME
Sauvage(s)pe, Jacque
xx, Agnes

------

IMAGE
11548.jpg




DATABASE ID
11549

NAME
Borny, Charles
xx, xx

------

IMAGE
11549.jpg




DATABASE ID
11550

NAME
Borny, Charles
Vincent, Anne

------

IMAGE
11550.jpg




DATABASE ID
11551

NAME
"Grand", Louis
xx, Marie

------

IMAGE
11551.jpg




DATABASE ID
11552

NAME
Lile, Augustin
Perré, Hélène

------

IMAGE
11552.jpg




DATABASE ID
11553

NAME
Tjhebaut, Louis
Lile, Magdelaine

------

IMAGE
11553.jpg




DATABASE ID
11554

NAME
Blin, Jean
Durant, Françoise [veuve de Jean Grossin ?]

------

IMAGE
11554.jpg




DATABASE ID
11555

NAME
Champion, Joseph
[Chpagam], Magdeleine

------

IMAGE
11555.jpg




DATABASE ID
11556

NAME
Daluan, Jean
Sire, Marie

------

IMAGE
11556.jpg




DATABASE ID
11557

NAME
Dingle, Jacques
Le Therieur, Marie Jeanne

------

IMAGE
11557.jpg




DATABASE ID
11558

NAME
Galon, François
Montory, Marie, veuve de Jean Paris

------

IMAGE
11558.jpg




DATABASE ID
11559

NAME
Galon, François
Montaury, Marie

------

IMAGE
11559.jpg




DATABASE ID
11560

NAME
Gripou, Antoine
Berriou, Marie Josèphe

------

IMAGE
11560.jpg




DATABASE ID
11561

NAME
Guedry, Pierre
Triel, Agnès

------

IMAGE
11561.jpg




DATABASE ID
11562

NAME
Rondel, Charles
Seaux, Françoise

------

IMAGE
11562.jpg




DATABASE ID
11563

NAME
Brun [Brown], Joseph [Josiah]
La Guerre [Lejer], Magdelaine

------

IMAGE
11563.jpg




DATABASE ID
11564

NAME
Dauphin, François
Le Mordant, Perrine

------

IMAGE
11564.jpg




DATABASE ID
11565

NAME
Grandain, Jean Baptiste
Dupuis, Anne Hyacinthe

------

IMAGE
11565.jpg




DATABASE ID
11566

NAME
Dauphin, Françoise
Le Mordant, Perine

------

IMAGE
11566.jpg




DATABASE ID
11567

NAME
La Guerre, Jean Baptiste
Trahant, Brigitte

------

IMAGE
11567.jpg




DATABASE ID
11568

NAME
Prioux, François
Le Mordant, Marie

------

IMAGE
11568.jpg




DATABASE ID
11569

NAME
Alain, Pierre
Bornie, Thérèse, veuve de Philibert LeCaudet dit LaFontaine

------

IMAGE
11569.jpg




DATABASE ID
11570

NAME
Allain, Pierre
Bornie, Thérèse veuve de Le Caudet dit LaFontaine Philibert

------

IMAGE
11570.jpg




DATABASE ID
11571

NAME
Bannet, Julien
DesRoches, Marguerite, veuve de Augustin Coupiaux

------

IMAGE
11571.jpg




DATABASE ID
11572

NAME
Bassot dit La Lancette, Hughues
Le Barbier, Françoise

------

IMAGE
11572.jpg




DATABASE ID
11573

NAME
Baudry, François
Grandin, Gillette, veuve de René du Repos

------

IMAGE
11573.jpg




DATABASE ID
11574

NAME
Caussé, Louis
Robidoux, Anne

------

IMAGE
11574.jpg




DATABASE ID
11575

NAME
Chauvin, George
Mirande, Marie

------

IMAGE
11575.jpg




DATABASE ID
11576

NAME
Chenian [Chenot], Mathurin
Harnois, Geneviève

------

IMAGE
11576.jpg




DATABASE ID
11577

NAME
Chouin, Georges
Mirande, Marie

------

IMAGE
11577.jpg




DATABASE ID
11578

NAME
Cousin, Jacque
Geossin [Mohin], Marie

------

IMAGE
11578.jpg




DATABASE ID
11579

NAME
Cousin, Jacque
Grossin, Marie

------

IMAGE
11579.jpg




DATABASE ID
11580

NAME
DesRoche, Antoine
Boucher, Jeanne

------

IMAGE
11580.jpg




DATABASE ID
11581

NAME
DesRoche, Antoine
Boucher, Jeanne

------

IMAGE
11581.jpg




DATABASE ID
11582

NAME
DesRoches, Antoine
Simon, Jeanne

------

IMAGE
11582.jpg




DATABASE ID
11583

NAME
DesRoches, Estienne
Simon, Josèphe Marie

------

IMAGE
11583.jpg




DATABASE ID
11584

NAME
DesRoches, Guillaume
Valette, Julienne

------

IMAGE
11584.jpg




DATABASE ID
11585

NAME
LeBarbier Du Plesis, Jacques
Fertée, Marie Françoise, veuve de Pierre Beaulieu

------

IMAGE
11585.jpg




DATABASE ID
11586

NAME
Du BorDieu, Jean
DesRoches, Françoise

------

IMAGE
11586.jpg




DATABASE ID
11587

NAME
Dupond, François
Auvray, Marie Charlotte

------

IMAGE
11587.jpg




DATABASE ID
11588

NAME
Dupont, François
DesRocher, Perinne

------

IMAGE
11588.jpg




DATABASE ID
11589

NAME
Gautier, Simon, veuf de
DuborDieu, Françoise

------

IMAGE
11589.jpg




DATABASE ID
11590

NAME
Gilbert, François
Tiller, Gilette, veuve de François Joly

------

IMAGE
11590.jpg




DATABASE ID
11591

NAME
Goret, François
Viar, Antoinette

------

IMAGE
11591.jpg




DATABASE ID
11592

NAME
Joly, François
Tiller, Gilette

------

IMAGE
11592.jpg




DATABASE ID
11593

NAME
LaVielle, Pierre
Gaudet, Marie, veuve de Joseph Mirande

------

IMAGE
11593.jpg




DATABASE ID
11594

NAME
Le Borgne, Toussaint
Bouché, Susanne, veuve en 2ième noces, Pierre Boulard

------

IMAGE
11594.jpg




DATABASE ID
11595

NAME
Le Chaux, Jean
Corporon, Magdalène

------

IMAGE
11595.jpg




DATABASE ID
11596

NAME
Le Chaux, Jean
Corporon, Magdelaine

------

IMAGE
11596.jpg




DATABASE ID
11597

NAME
Le Chaux, Jean
Borice, Isabelle

------

IMAGE
11597.jpg




DATABASE ID
11598

NAME
Le Corre, Jean
Cadoret, Marie Magdelaine

------

IMAGE
11598.jpg




DATABASE ID
11599

NAME
Le Monier, François
Rouselle, Marie

------

IMAGE
11599.jpg




DATABASE ID
11600

NAME
Le Prieur dit Desnoyer, Jean
Le Voyer, Guillemette

------

IMAGE
11600.jpg




DATABASE ID
11601

NAME
Le Quement, Yves
Grossen, Marie

------

IMAGE
11601.jpg




DATABASE ID
11602

NAME
Le Tourneur, Pierre
Le Prieur, Marie, veuve de Guillaume Valet

------

IMAGE
11602.jpg




DATABASE ID
11603

NAME
Marie, Louis
DuborDieux, Jeanne

------

IMAGE
11603.jpg




DATABASE ID
11604

NAME
Mirande, Joseph
Le Grande, Barbe

------

IMAGE
11604.jpg




DATABASE ID
11605

NAME
Mirande, Pierre
Grandain, Gillette

------

IMAGE
11605.jpg




DATABASE ID
11606

NAME
Peré, Thomas
Höuitte, Toussainte

------

IMAGE
11606.jpg




DATABASE ID
11607

NAME
Peré, Adam
Grandin, Hyacinthe

------

IMAGE
11607.jpg




DATABASE ID
11608

NAME
Perré, Adam
Grandin, Hiacinthe

------

IMAGE
11608.jpg




DATABASE ID
11609

NAME
Perin, Jacques
Dupont, Marie

------

IMAGE
11609.jpg




DATABASE ID
11610

NAME
Raux, Louis
Alaire, Renée Angélique

------

IMAGE
11610.jpg




DATABASE ID
11611

NAME
Roussel, Louis
Morice, Marguerite

------

IMAGE
11611.jpg




DATABASE ID
11612

NAME
Sole, Jean
Le Manquet dit Benjamin, Marie Anne

------

IMAGE
11612.jpg




DATABASE ID
11613

NAME
Valet, Guillaume
Le Prieur, Marie

------

IMAGE
11613.jpg




DATABASE ID
11614

NAME
Valette, Michel
Santier, Mathurine

------

IMAGE
11614.jpg




DATABASE ID
11615

NAME
Yvon, Charles
DesRoches, Louise

------

IMAGE
11615.jpg




DATABASE ID
11616

NAME
Yvon, Charles, veuf de Louise DesRoche
Dohiet, Mathurine

------

IMAGE
11616.jpg




DATABASE ID
11617

NAME
Le Houet, Christophe
Chayer, Charlotte

------

IMAGE
11617.jpg




DATABASE ID
11618

NAME
Billad, Florent
Sinardine, Barbe

------

IMAGE
11618.jpg




DATABASE ID
11619

NAME
Bourgneuf, Julien veuf de Anne Marie Hiomet
Guidy, Jeanne

------

IMAGE
11619.jpg




DATABASE ID
11620

NAME
Chemin dit La Ramée, Jacques
Angers, Françoise

------

IMAGE
11620.jpg




DATABASE ID
11621

NAME
Chenck, Jean
Lauriot, Marie Magdelaine

------

IMAGE
11621.jpg




DATABASE ID
11622

NAME
Coll, André
Voulvine, Marie Magdeleine

------

IMAGE
11622.jpg




DATABASE ID
11623

NAME
Collin dit La Framboise, Jean
Allemand, Marie Louise

------

IMAGE
11623.jpg




DATABASE ID
11624

NAME
Douin, Mathurin
Courte, Marie Catherine

------

IMAGE
11624.jpg




DATABASE ID
11625

NAME
Fabre, Philippe
Landau, Anne

------

IMAGE
11625.jpg




DATABASE ID
11626

NAME
Fautoux dit Langevin, Guillaume
Malvillain de, Elisabeth

------

IMAGE
11626.jpg




DATABASE ID
11627

NAME
Gaillard, Michel
Cailleray, Rose

------

IMAGE
11627.jpg




DATABASE ID
11628

NAME
Hasse, André
Colin, Sophie

------

IMAGE
11628.jpg




DATABASE ID
11629

NAME
Layer, Michel
Guideler, Marguerite

------

IMAGE
11629.jpg




DATABASE ID
11630

NAME
Le Gendre, François
La Bauve, Marguerite

------

IMAGE
11630.jpg




DATABASE ID
11631

NAME
Martin, Jacques
Ardouin, Louise

------

IMAGE
11631.jpg




DATABASE ID
11632

NAME
Mehof, Benedict
Chenadrin, Madelaine

------

IMAGE
11632.jpg




DATABASE ID
11633

NAME
Pisleur, Florent [Laurens]
Chenadrin, Barbe

------

IMAGE
11633.jpg




DATABASE ID
11634

NAME
Richard dit La guerre, François
Mans, Françoise

------

IMAGE
11634.jpg




DATABASE ID
11635

NAME
Singlan, Jean Pierre
Malet, Jeanne

------

IMAGE
11635.jpg




DATABASE ID
11636

NAME
Souly, Laurent
Lecuyer, Jeanne

------

IMAGE
11636.jpg




DATABASE ID
11637

NAME
Sureau, Jean
Dubreuil, Madeleine

------

IMAGE
11637.jpg




DATABASE ID
11638

NAME
Thessenay, Pierre Luc
Le Seigneur, Laurenie, veuve de Alain Laurent

------

IMAGE
11638.jpg




DATABASE ID
11639

NAME
Toussaint dit Dubois
Roy, Jeanne

------

IMAGE
11639.jpg




DATABASE ID
11640

NAME
Tubert, Jean
Quereville, Marie Catherine

------

IMAGE
11640.jpg




DATABASE ID
11641

NAME
Vareine, Jean Pierre
LaBeauve, Magdelaine

------

IMAGE
11641.jpg




DATABASE ID
11642

NAME
Terriot, Joseph
Godet, Marie Rose

------

IMAGE
11642.jpg




DATABASE ID
11643

NAME
Thomas, Yve René
Terriot, Marie Magdelaine

------

IMAGE
11643.jpg




DATABASE ID
11644

NAME
Nöel, Jean
Faisant, Bernardine

------

IMAGE
11644.jpg




DATABASE ID
11645

NAME
Bertaux, Pierre
Borny, Jeanne

------

IMAGE
11645.jpg




DATABASE ID
11646

NAME
Le Marechal, Guillaume
Sabot, Jeanne

------

IMAGE
11646.jpg




DATABASE ID
11647

NAME
Malvillain,de, Jean Nicolas
Durand, Magdelaine

------

IMAGE
11647.jpg




DATABASE ID
11648

NAME
Overque, Daniel
Mc Namara, Anne

------

IMAGE
11648.jpg




DATABASE ID
11649

NAME
Roue, Daniel

------

IMAGE
11649.jpg




DATABASE ID
11650

NAME
Granville, Louis
Sabot, Michel

------

IMAGE
11650.jpg




DATABASE ID
11651

NAME
Heron, Martin
Hequards, Jeanne

------

IMAGE
11651.jpg




DATABASE ID
11652

NAME
La Fond, Sabat
Sabo, Gillette

------

IMAGE
11652.jpg




DATABASE ID
11653

NAME
Lépron, Pierre
Borny, Agnès

------

IMAGE
11653.jpg